Seasonal Variability of Aroma Components of Lingyun Pekoe Green Tea
凌云白毫茶是广西特有的国家级优良茶树品种,属于国家地理标志产品,也是亚洲唯一能加工出绿茶、红茶、白茶、黄茶、黑茶、青茶6大茶类的茶树品种,素有“一茶千化”的美名。凌云白毫茶的茶汤香气馥郁持久,滋味浓醇鲜爽,回味清甘绵长,有板栗香,可以助消化、解腻利尿、提神醒目[1-2]。
茶叶中芳香物质亦称“挥发性香气成分”,一般只占干物质质量的0.01%~0.05%,却是茶叶品质评价的重要指标[3],在感官评审中,香气对茶叶感官品质的贡献率达25%[4]。茶叶香气的形成主要受茶树品种、栽培环境、采摘季节、加工工艺等因素影响,促使茶叶香气成分的组成和含量存在差异,进而产生不同类型的香气品质[5-6]。目前对凌云白毫茶的香气研究中,已有报道[1-2,7-11]仅对凌云白毫茶的感官香型进行描述,鲜见对其香气成分的定性定量研究,对不同季节凌云白毫绿茶香气成分的研究鲜见报道。
茶叶香气成分纷繁复杂,要了解不同类别样品与多种香气成分之间的联系,需借助于多元统计分析方法。偏最小二乘-判别分析(partial least square-discriminant analysis,PLS-DA)为有监督的分析模式,即在预知分类的条件下根据样本信息对训练样本集建立判别模型,再通过验证样本集进行验证,最终达到能够对未知样品集进行判别分类的目的,适用于解释变量数量多且存在多重共线性,而样本观测数少的情况[12]。PLS-DA在食品科学研究中的样品等级分类、香型分类、产地鉴定、真伪鉴别等方面有很多应用[12-19]。例如,刘彬球等[15]通过建立PLS-DA模型可将3级晒青毛茶与6、9级进行有效区分,并根据变量重要性投影(variable importance for the projection,VIP)值发现茶叶中赖氨酸、脯氨酸和苯丙氨酸含量对晒青毛茶级别分类起关键作用;颜鸿飞等[14]根据香气成分通过建立PLS-DA模型成功从多个品牌茶叶中鉴别出安化黑茶;冉坚等[18]通过氢谱核磁共振技术测定样品的全成分信息,基于此信息建立PLS-DA模型,成功将鹿龟酒与仿制品区分。
为了解凌云白毫绿茶的主要香气成分,同时探明不同季节凌云白毫绿茶的香气成分差异,本研究定性定量分析春、夏、秋茶中各香气成分,根据各季节茶样中各香气成分的相对含量,通过PLS-DA建立不同季节判别模型,然后找到对分类其关键作用的香气成分,最后通过绘制热图和层次聚类分析确定各关键香气成分在不同季节凌云白毫绿茶中的分布规律。以期为今后科学分析和评价凌云白毫茶的香气品质提供研究基础,同时为今后优良茶树品种选育提供一定的参考依据。
供试凌云白毫茶由广西南亚热带农业科学研究所提供,于2018年采自凌云县茶园,春、夏、秋茶分别于3、7、9月份采集,采集一芽二叶,每季节采集5 个茶样,且5 个茶样分别采自不同的茶区,然后由广西南亚热带农业科学研究所根据常规烘青绿茶加工工艺分别制成相应的绿茶,研磨过60 目筛,自封袋封装后常温保存,共15 个样品。当季样品制备完成后即在5 d内完成测试分析。
常规烘青绿茶加工流程如下:采集的一芽二叶鲜叶摊青8 h→230 ℃滚筒杀青5 min→摊放1 h至回软→揉捻20 min→烘干机120 ℃初烘至6~7成干→摊凉回潮,放至回软→烘干机90 ℃提毫足干(含水量约5%)→摊凉装袋。
BSA2202S型分析天平 德国赛多利斯科学仪器有限公司;Markelov HS9000型动/静态一体顶空自动进样器美国EST公司;7890B-5977A型气相色谱-质谱联用仪美国Agilent公司。
1.3.1 样品前处理
参照王顾希等[13]的研究,称取5 g试样(精确至0.01 g)于20 mL顶空瓶中,迅速压紧顶空瓶盖,等待进样。每个茶样平行做3 个。
1.3.2 香气成分的测定
顶空条件[13]:顶空平衡温度80 ℃,顶空平衡时间30 min;吹扫气体为氮气,吹扫温度40 ℃,吹扫流量40 mL/min,吹扫时间30 min;干吹温度40 ℃,干吹时间2 min;脱附温度220 ℃,脱附时间2 min;烘烤温度260 ℃,烘烤时间10 min;捕集肼填料Tenax-TA。
色谱条件:DB-WAX色谱柱(30 m×0.25 mm,0.25 μm);进样口温度250 ℃,分流进样,分流比为10∶1;升温梯度:初始温度40 ℃,保持3 min;以5 ℃/min升至90 ℃;再以10 ℃/min升至230 ℃,保持7 min;载气为高纯氦气(99.999%),载气流量1.0 mL/min。
质谱条件:电子电离源;电子能量70 eV;接口温度250 ℃;离子源温度230 ℃;四极杆温度150 ℃;溶剂延迟时间3 min;全扫描模式;质量扫描范围35~400 u。
1.3.3 香气成分的定性定量分析
通过动态顶空-气相色谱-质谱,利用全扫描模式对各样品的香气成分进行测定,得到各季节的总离子流图。结合NIST谱库和前人的相关研究,对不同季节茶叶中各香气成分进行鉴定,筛选匹配度达到90%以上的化合物,同时结合化合物结构,排除柱流失等干扰性化合物。根据峰面积归一法得到各香气成分的相对含量。
通过Microsoft Excel进行数据预处理;PLS-DA采用软件SIMCA-P 11.5进行分析;非参数检验Kruskal Wallis检验通过SPSS 22.0进行分析;采用MeV生物信息学分析软件进行热图绘制及层次聚类分析;采用OriginPro 8绘制图。
通过动态顶空-气相色谱-质谱测定香气成分,得到各季节凌云白毫绿茶的总离子流图,如图1所示。对不同季节茶叶中各香气成分进行鉴定,结果表明,总共鉴定出37 种化合物,包括醇类、酮类、酯类、烷烃类、醛类、杂环类及其他类化合物。根据峰面积归一法得到各成分的相对含量,各季节每个样品的香气成分组成及相对含量见表1。由表1可知,不同季节凌云白毫绿茶的香气成分组成基本一致,其中醇类化合物数量最多,包含13 种,总相对含量在30.74%~39.41%之间;醛类化合物次之,共有9 种,相对含量在13.14%~18.60%之间;酮类、酯类、烷烃类各有3 种;杂环类有2 种,相对含量最低,平均仅占2.33%;其他类有4 种,且主要为萜类,萜类平均相对含量为3.76%。在醇类中,芳樟醇、正戊醇、香叶醇、L-薄荷醇4 种化合物相对含量较高,且这几种化合物具有花香、果香、木香、薄荷味等香气;醛类中的异丁醛、异戊醛、壬醛3 种含量较高,具有青草、麦芽香、坚果可可香、果皮香等香味;酮类中的顺-茉莉酮(具有木本、花香)、酯类中的乙酸乙酯(具有甜香、果香)以及烷烃类中的异十二烷这些相对于同类中的其他化合物也较高;另外,其他类中的二甲硫醚(具有脂肪香、薄荷味)和杂环中的吲哚(泥土香)占比也相对较高。因此,除异十二烷,其他化合物具有花香、果香、薄荷味、木香、青草、麦芽香、甜香、脂肪香、泥土等特殊香味,上述这些化合物的存在构成了广西凌云白毫绿茶清新、浓醇鲜爽、回味清甘的独特香气风味,同时与绿茶普遍具有的花香和清香香气[16,20-23]一致。另外,这37 种香气成分中,β-紫罗兰酮、己醛、芳樟醇3 种化合物对形成凌云白毫绿茶的板栗香有一定贡献作用[24-25]。

图1 各季节凌云白毫绿茶香气成分的总离子流图
Fig. 1 Total ion current chromatograms of aroma components of Lingyun pekoe green tea samples harvested in different seasons
表1 各季节每个茶样的香气成分组成及相对含量
Table 1Aroma composition of each tea sample

相对含量/%春茶 夏茶 秋茶样1 样2 样3 样4 样5 样6 样7 样8 样9 样10 样11 样12 样13 样14 样15醇类1 1-戊烯-3-醇 2.35±0.3 2.55±0.45 1.87±0.17 2.04±0.2 2.02±0.1 1.76±0.13 1.69±0.12 2.35±0.17 2.11±0.1 2.49±0.14 1.91±0.19 2.08±0.15 1.84±0.26 1.62±0.04 1.97±0.12 2 正戊醇 4.66±0.22 4.23±0.13 3.69±0.11 4.78±0.26 4.05±0.15 1.71±0.16 1.64±0.1 2.38±0.17 1.97±0.09 1.42±0.11 2.84±0.14 2.92±0.08 2.75±0.09 3.01±0.16 2.87±0.13 3 正己醇 0.4±0.05 0.43±0.03 0.29±0.04 0.31±0.06 0.36±0.06 0.21±0.02 0.19±0.01 0.28±0.05 0.32±0.03 0.26±0.04 0.33±0.03 0.38±0.04 0.29±0.04 0.22±0.01 0.35±0.04 4 顺式-2-戊烯-1-醇 2.73±0.12 2.51±0.16 2.66±0.13 3.19±0.12 2.08±0.03 2.14±0.07 2.38±0.08 2.25±0.04 1.89±0.1 2.47±0.06 3.11±0.09 3.02±0.11 2.57±0.05 3.08±0.18 2.94±0.07 5 叶醇 2.98±0.1 3.07±0.06 3.24±0.26 2.55±0.12 2.71±0.22 2.06±0.09 2.53±0.09 2.67±0.23 2.12±0.07 2.84±0.1 3.23±0.05 2.64±0.11 2.97±0.08 2.85±0.16 3.02±0.21 6 芳樟醇氧化物 0.75±0.09 0.42±0.08 0.83±0.06 0.49±0.07 0.67±0.04 0.66±0.04 0.63±0.03 0.52±0.04 0.58±0.05 0.49±0.04 0.57±0.07 0.45±0.03 0.66±0.05 0.53±0.06 0.49±0.05 7 芳樟醇 10.04±0.15 8.54±0.11 12.97±0.29 10.3±0.36 9.25±0.4 8.89±0.39 11.24±0.21 8.36±0.13 9.22±0.14 8.63±0.29 9.52±0.22 9.28±0.18 10.13±0.24 10.25±0.09 8.64±0.17 8 α-萜品醇 — 0.07±0.02 — 0.11±0.03 0.08±0.01 — 0.13±0.01 0.04±0.02 — 0.02±0.01 — 0.07±0.03 0.03±0.02 0.11±0.03 —9 L-薄荷醇 2.71±0.04 2.96±0.08 3.98±0.23 3.25±0.28 2.24±0.27 8.47±0.08 7.29±0.59 8.05±0.21 8.16±0.07 7.53±0.38 11.02±0.11 11.23±0.38 10.77±0.2 9.94±0.2 11.58±0.25 10 香叶醇 4.05±0.11 4.84±0.26 5.73±0.18 4.19±0.1 4.28±0.06 5.22±0.27 3.97±0.14 3.62±0.18 4.15±0.07 4.91±0.13 3.49±0.15 3.17±0.16 4.22±0.17 4.05±0.27 4.36±0.08 11 苯甲醇 0.83±0.07 0.92±0.09 0.76±0.08 0.64±0.11 0.89±0.18 0.11±0.03 0.08±0.03 0.21±0.06 0.17±0.04 0.13±0.04 0.39±0.06 0.48±0.06 0.35±0.03 0.52±0.08 0.41±0.03 12 苯乙醇 1.77±0.1 1.08±0.09 1.01±0.08 1.55±0.1 1.32±0.08 1.24±0.1 1.5±0.19 1.12±0.03 1.03±0.12 1.08±0.18 0.92±0.04 0.87±0.06 1.25±0.09 1.11±0.07 0.94±0.04 13 反-橙花叔醇 0.98±0.19 1.06±0.14 1.23±0.17 0.84±0.06 0.79±0.16 3.03±0.07 2.72±0.11 2.88±0.16 2.51±0.17 2.93±0.1 1.73±0.11 1.92±0.09 1.55±0.22 1.65±0.26 1.84±0.13酮类1 3,5-辛二烯-2-酮 0.26±0.04 0.19±0.06 0.22±0.04 0.31±0.05 0.25±0.07 3.16±0.07 2.87±0.06 2.68±0.1 3.05±0.16 3.63±0.09 1.29±0.1 1.08±0.05 1.15±0.15 1.22±0.18 1.37±0.1 2 顺-茉莉酮 3.74±0.12 4.17±0.13 3.22±0.15 2.91±0.14 2.73±0.11 2.95±0.15 2.72±0.18 3.08±0.06 2.25±0.25 2.84±0.24 2.77±0.06 2.18±0.1 2.54±0.13 2.01±0.13 2.46±0.13 3 β-紫罗兰酮 0.25±0.03 0.42±0.03 0.37±0.05 0.58±0.06 0.33±0.07 1.75±0.1 1.66±0.2 1.82±0.11 1.29±0.19 1.71±0.14 2.8±0.14 2.36±0.14 2.75±0.22 2.62±0.24 2.93±0.27酯类1 乙酸乙酯 4.79±0.21 4.27±0.22 5.18±0.1 4.52±0.4 4.04±0.08 4.02±0.04 5.06±0.1 4.64±0.1 4.13±0.06 4.29±0.09 5.53±0.41 4.94±0.11 4.67±0.21 5.15±0.14 5.02±0.1 2 2-己烯酸丁酯 0.15±0.03 0.09±0.03 0.13±0.03 0.06±0.02 0.13±0.01 0.07±0.02 0.08±0.01 0.05±0.02 0.17±0.03 0.06±0.01 0.09±0.03 0.04±0.02 0.14±0.04 0.07±0 0.1±0.02 3 水杨酸甲酯 1.18±0.06 1.39±0.07 1.02±0.2 0.94±0.1 1.01±0.14 0.82±0.1 0.91±0.06 1.12±0.1 0.98±0.11 0.87±0.07 1.04±0.11 1.16±0.11 0.8±0.05 0.96±0.08 0.73±0.04烷烃类1 异十二烷 6.88±0.23 5.94±0.08 5.58±0.21 6.71±0.21 5.37±0.17 5.06±0.06 4.26±0.12 5.82±0.22 5.39±0.17 5.04±0.17 5.21±0.08 6.03±0.12 4.89±0.25 4.46±0.18 5.11±0.2 2 十三烷 1.04±0.19 0.99±0.12 1.27±0.09 1.01±0.13 0.82±0.08 0.56±0.1 0.74±0.07 0.63±0.05 0.91±0.04 0.85±0.07 1.23±0.13 1.17±0.13 1.08±0.12 1.02±0.11 1.3±0.14 3 十四烷 0.81±0.08 0.67±0.09 0.59±0.07 0.96±0.1 0.74±0.08 0.44±0.07 0.62±0.04 0.57±0.02 0.76±0.04 0.53±0.1 0.47±0.07 0.52±0.05 0.44±0.06 0.65±0.1 0.5±0.08醛类1 异丁醛 4.65±0.53 3.78±0.3 4.52±0.14 4.06±0.17 4.31±0.08 3.32±0.32 3.18±0.17 3.59±0.24 4.02±0.13 4.14±0.12 4.95±0.19 4.37±0.17 4.08±0.11 4.55±0.37 3.96±0.17 2 2-甲基丁醛 0.14±0.03 0.07±0.02 0.11±0.03 0.12±0.04 0.06±0.02 0.05±0.01 0.07±0.03 0.03±0.01 0.12±0.04 0.14±0.03 0.11±0.04 0.08±0.01 0.04±0.02 0.13±0.02 0.06±0.01 3 异戊醛 4.19±0.11 3.57±0.09 3.82±0.15 3.31±0.2 4.01±0.13 3.22±0.19 3.86±0.07 4.24±0.08 3.01±0.05 3.73±0.04 3.07±0.07 3.15±0.04 2.97±0.21 3.54±0.15 3.26±0.09 4 正戊醛 2.03±0.09 2.21±0.16 1.46±0.14 1.87±0.1 1.59±0.06 1.64±0.1 1.83±0.05 1.59±0.12 1.78±0.11 2.17±0.06 1.35±0.15 1.64±0.11 1.49±0.15 1.52±0.18 1.93±0.12 5 己醛 1.92±0.13 1.74±0.24 1.55±0.08 2.03±0.12 1.38±0.15 1.51±0.16 1.22±0.06 2.18±0.18 1.36±0.13 1.49±0.07 1.46±0.22 1.29±0.14 1.37±0.13 1.58±0.18 1.24±0.13 6 2-己烯醛 0.09±0.04 0.13±0.06 — 0.08±0.01 0.05±0.02 0.12±0.03 0.15±0.04 — 0.04±0.01 0.07±0.02 0.04±0.02 — 0.08±0.01 0.11±0.03 0.02±0.02 7 壬醛 3.82±0.16 3.97±0.15 4.18±0.13 4.27±0.24 3.65±0.23 6.04±0.17 6.21±0.11 5.89±0.12 6.17±0.05 5.96±0.12 2.55±0.23 2.24±0.21 2.07±0.09 2.39±0.08 2.11±0.04 8 癸醛 0.39±0.04 0.27±0.05 0.19±0.04 0.33±0.03 0.52±0.08 0.33±0.04 0.25±0.03 0.43±0.03 0.37±0.06 0.21±0.02 0.24±0.05 0.31±0.05 0.4±0.04 0.29±0.05 0.26±0.05 9 β-环柠檬醛 0.52±0.08 0.41±0.06 0.74±0.06 0.56±0.04 0.72±0.1 0.7±0.08 0.59±0.04 0.65±0.05 0.78±0.05 0.49±0.05 0.57±0.06 0.42±0.01 0.64±0.04 0.73±0.05 0.56±0.04杂环类1 2-甲基呋喃 0.1±0.02 — — 0.06±0.01 0.08±0.02 — 0.04±0.02 0.09±0.02 — 0.07±0.03 0.17±0.03 0.08±0.02 0.05±0.03 0.12±0.05 0.1±0.05 2 吲哚 3.06±0.14 2.51±0.08 2.03±0.11 1.82±0.08 2.66±0.15 1.98±0.12 2.36±0.08 2.11±0.1 3.15±0.06 1.87±0.1 2.05±0.12 1.93±0.05 1.66±0.1 2.28±0.12 2.63±0.11其他1 二甲硫醚 9.12±0.35 10.03±0.22 8.25±0.52 9.64±0.35 9.22±0.19 8.43±0.23 8.92±0.15 8.16±0.34 9.08±0.19 9.29±0.28 8.01±0.13 9.56±0.29 8.55±0.4 9.13±0.1 8.97±0.22 2 1,3-戊二烯 0.38±0.04 0.22±0.03 0.31±0.07 0.29±0.05 0.34±0.03 0.52±0.04 0.39±0.04 0.24±0.04 0.31±0.1 0.45±0.04 0.29±0.08 0.35±0.04 0.3±0.06 0.22±0.04 0.27±0.08 3 D-柠檬烯 1.24±0.13 1.53±0.17 1.02±0.21 1.08±0.06 1.37±0.17 1.44±0.09 1.13±0.05 1.22±0.12 1.39±0.05 1.07±0.07 1.09±0.04 1.17±0.07 1.42±0.13 1.1±0.08 1.33±0.05 4 α-蒎烯 2.01±0.17 2.37±0.12 2.24±0.12 1.75±0.12 2.39±0.09 2.19±0.06 2.32±0.05 2.07±0.1 2.23±0.12 1.59±0.19 2.54±0.26 2.01±0.12 2.18±0.1 2.63±0.1 2.42±0.12序号 香气成分
如图2所示,对于香气成分中的醇类、酮类和醛类化合物,不同季节间的相对含量差异极显著,烷烃类化合物的相对含量在不同季节间差异显著,而酯类、杂环类和其他化合物均无显著差异。凌云白毫绿茶的春茶香气成分中烷烃类显著高于夏茶,其中春茶中异十二烷平均相对含量达到6.10%,夏茶和秋茶平均相对含量为5.13%,春茶中杂环类以及其他中的萜类也稍高于夏茶、秋茶;夏茶中的酮类显著高于春茶,而醛类极显著高于秋茶,稍高于春茶,其中尤其是3,5-辛二烯-2-酮和壬醛,夏茶中平均相对含量分别达到3.08%、6.05%,而在春茶和秋茶平均相对含量分别仅为0.73%、3.13%(其中春茶中3,5-辛二烯-2-酮平均相对含量为0.25%,壬醛平均相对含量为3.98%;秋茶中3,5-辛二烯-2-酮平均相对含量为1.22%;壬醛平均相对含量为2.27%),香味表现为甜香、果皮香;对于醇类和酯类,尤其是醇类化合物,秋茶极显著高于其他季节,其中L-薄荷醇的平均相对含量达到10.91%,而在春茶和夏茶中平均相对含量仅为5.46%(其中春茶中L-薄荷醇平均相对含量为3.03%,夏茶中平均相对含量为7.90%),香味表现为薄荷味,秋茶中酯类稍高于其他季节。这与Kang[16]、赖幸菲[26]等研究表明的夏茶中醛酮化合物相对含量较高的结果一致,而苏敏等[27]研究表明不同季节绿茶中除醇类、烷烃类差异显著外,醛类和酮类相对含量无差异,这可能与茶树品种不同有关。

图2 不同季节茶叶香气成分中各类化合物相对含量差异
Fig. 2 Differences in the relative contents of various classes of aroma components in tea samples harvested in different seasons
同一类别化合物,大写字母不同表示差异极显著(P≤0.01),小写字母不同表示差异显著(P≤0.05)。
2.2.1 建立基于茶叶香气成分判别3 季凌云白毫绿茶的PLS-DA模型
PLS-DA为有监督的分析模式,即在预知分类的条件下根据样本信息对训练样本集建立判别模型,适用于样本容量小于变量个数的情况;而主成分分析为无监督的分析模式,属于完全客观的根据变量信息,通过降维后对样本进行分类,适用于样本容量远大于变量个数的情况[12]。
本研究根据茶样的37 种香气成分组成和相对含量,对3 个季节的凌云白毫绿茶共15 个茶样进行PLS-DA,建立各个季节凌云白毫茶的判别分析模型。由图3可知,15 个茶样的相似度在95%的置信区间内,各茶样表现出明显的聚类趋势,未发现离群样本点,说明建立的PLS-DA模型可对15 个茶样进行分类。如图3A所示,建立的模型可以将3 个季节的茶样明显区分,其中春茶和夏茶主要通过主成分1进行有效区分,夏茶和秋茶在主成分2上达到了较好的分离效果,春茶和秋茶在主成分1和主成分2上均可以进行有效区分。结果表明,本研究建立的PLS-DA模型有良好的拟合参数,
=0.43,
越接近1,模型越稳定;
=0.919,
越大,模型的解释能力越强,说明该模型可以解释91.9%的原始数据;Q2=0.823,Q2大于0.5,说明模型的预测能力较强。

图3 PLS-DA得分图(A)和Hotelling T2分布图(B)
Fig. 3 PLS-DA score plot (A) and Hotelling T2 distribution plot (B)
2.2.2 模型的可靠性验证

图4 PLS-DA模型置换验证图
Fig. 4 PLS-DA model replacement validation plots
A.春茶;B.夏茶;C.秋茶。
分别对3 个季节凌云白毫茶的判别模型进行20 次置换后验证,结果如图4所示。3 个模型Q2的一元线性回归曲线在纵轴上的截距均小于零,说明3 个模型均不存在过拟合现象,模型可靠,可用于各自季节凌云白毫绿茶的判别分析。
2.2.3 对3 季凌云白毫绿茶的判别起关键作用的香气成分鉴定

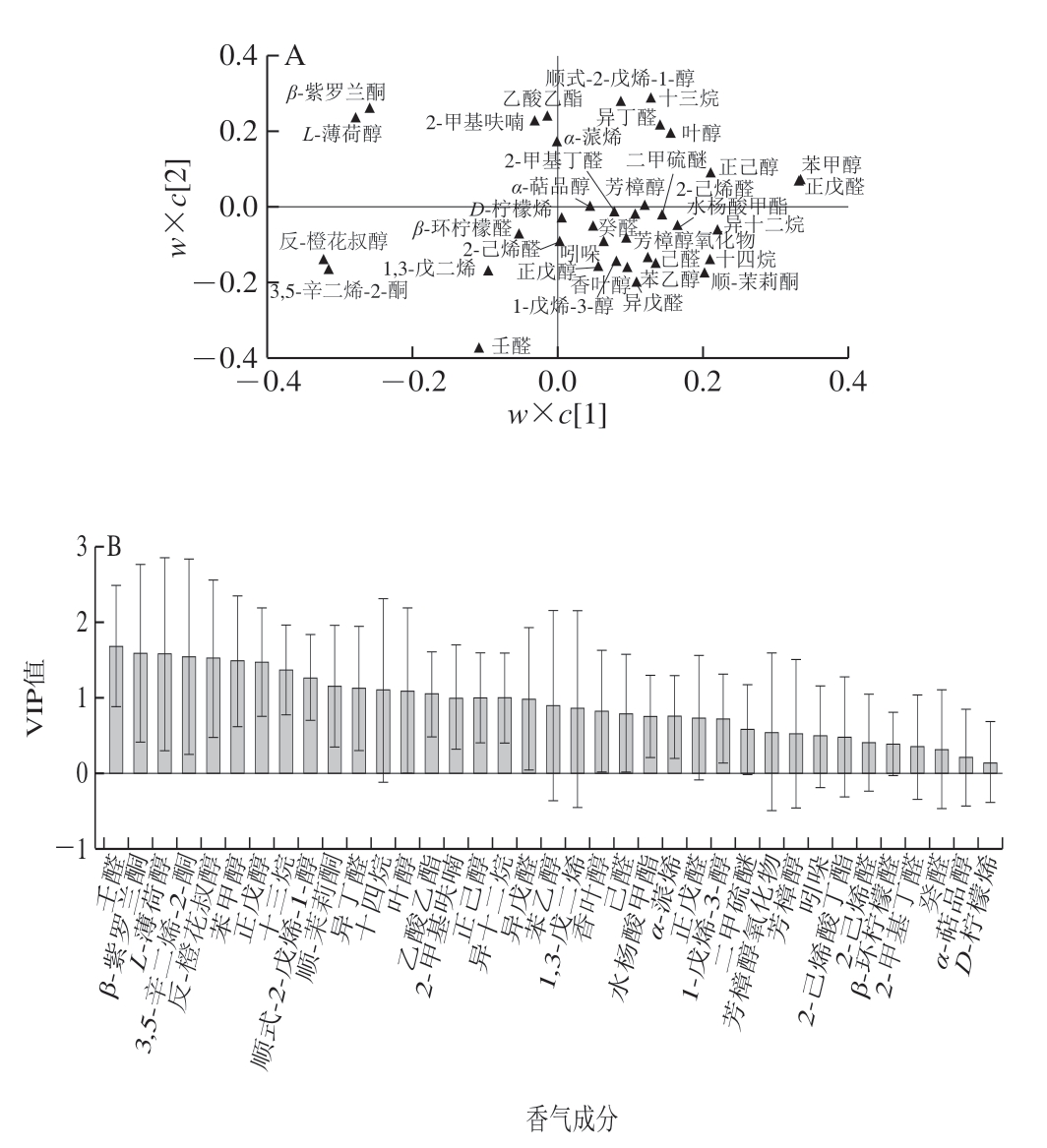
图5 PLS-DA模型因子载荷图(A)和37 种香气成分VIP值图(B)
Fig. 5 PLS-DA model factor loading plots (A) and VIP value plots of 37 aroma components (B)
如图5所示,离密集区越远的变量对分类起的作用越关键,同时结合37 种香气成分的VIP值,如图7所示。VIP值可以量化PLS-DA模型的每个变量对分类的贡献,VIP值越大,该香气成分的含量在不同季节凌云白毫绿茶之间的差异越大,对分类起着越关键的作用,通常认为VIP值大于1的变量在不同类别之间差异显著,对分类起着重要作用[28],因此得出共有14 种香气成分VIP值大于1,分别为壬醛、β-紫罗兰酮、L-薄荷醇、3,5-辛二烯-2-酮、反-橙花叔醇、苯甲醇、正戊醇、十三烷、顺式-2-戊烯-1-醇、顺-茉莉酮、异丁醛、十四烷、叶醇、乙酸乙酯,由图5A可知,这些化合物均属于离密集区较远的变量,每一类别(Y)附近的变量(X)均在该类别的样品中相对含量较大,β-紫罗兰酮、L-薄荷醇在凌云白毫绿茶的秋茶中相对含量较高;反-橙花叔醇、3,5-辛二烯-2-酮、壬醛在夏茶中相对含量较高;苯甲醇、正戊醇和十四烷在春茶中相对含量较高。
表2 PLS-DA模型中VIP值大于1的化合物P值及其香气特征
Table 2Pvalue and aroma characteristics of compounds with VIP values greater than 1 in the PLS-DA model

注:P值为采用Kruskal-Wallis检验得到的显著性;**.不同季节间差异极显著(P≤0.01);*.不同季节间差异显著(P≤0.05)。
对于VIP值大于1的14 种香气成分,对不同季节凌云白毫绿茶中各香气成分相对含量的差异进行分析,通过非参数检验中的Kruskal Wallis检验,结果如表2所示。14 种化合物依据VIP值由大到小排序,发现随着VIP值的减小,显著性P值有增大趋势,即各化合物相对含量在不同季节茶之间的差异减小,由极显著差异到显著差异再到无差异,其中,壬醛、β-紫罗兰酮、L-薄荷醇、3,5-辛二烯-2-酮、反-橙花叔醇、苯甲醇、正戊醇、十三烷8 种香气成分的相对含量在不同季节凌云白毫茶之间均有极显著差异(P≤0.01),顺式-2-戊烯-1-醇、顺-茉莉酮、十四烷、叶醇4 种香气成分的相对含量在不同季节凌云白毫茶之间均有显著差异(P≤0.05),而异丁醛、乙酸乙酯2 种物质的相对含量在不同季节凌云白毫茶之间无差异(P>0.05),与PLS-DA模型分析结果不同。所以,综合建立的PLS-DA模型中VIP值大于1的变量和非参数检验中Kruskal Wallis检验的差异显著性分析结果,最终鉴定出12 种香气成分为区分不同季节凌云白毫绿茶的关键化合物,分别为壬醛、β-紫罗兰酮、L-薄荷醇、3,5-辛二烯-2-酮、反-橙花叔醇、苯甲醇、正戊醇、十三烷、顺式-2-戊烯-1-醇、顺-茉莉酮、十四烷、叶醇。
为进一步了解12 种关键香气成分分别在3 季凌云白毫绿茶中含量的分布,通过绘制热图,并采用层次聚类分析法对12 种香气成分进行聚类,如图6所示。图中任意一个格子表示某种香气成分在某个茶样中的相对含量,颜色由绿色到红色,代表相对含量由低到高。

图6 12 种关键香气成分在不同季节凌云白毫绿茶中含量分布热图
Fig. 6 Heat maps for distribution of 12 key aroma components in Lingyun pekoe green tea samples harvested in different seasons
由图6可知,I区化合物主要在秋茶中相对含量较高,由表2可知,I区化合物主要表现为木香、果香、花香、生果味、薄荷味,其中叶醇在样12中含量偏低,相对含量为2.64%,秋茶中其他茶样平均相对含量为3.02%,叶醇和十四烷在样14中相对含量居中,顺式-2-戊烯-1-醇在样13中相对含量居中;I区化合物在夏茶中相对含量均比较低;在春茶中相对含量也普遍偏低,其中L-薄荷醇和β-紫罗兰酮在春茶各茶样中相对含量均较低,但十三烷和叶醇在春茶的样3中相对含量较高,顺式-2-戊烯-1-醇在样4中相对含量也偏高,相对含量为3.19%,春茶中其他茶样平均相对含量为2.50%。II区化合物主要在春茶中相对含量较高,II区化合物主要表现为杏仁苦味、水果味、花香味、清香;在秋茶中相对含量居中;在夏茶中相对含量较低,但十四烷在样9中相对含量偏高,达到0.76%,夏茶中其他茶样平均相对含量为0.54%。III区化合物分布规律明显,在夏茶中相对含量最高,III区化合物主要表现为柑橘柠檬香味、水果甜香;在秋茶中相对含量居中;在春茶中相对含量最低,但壬醛在春茶中的平均相对含量(3.98%)要高于秋茶(2.27%),另外,PLS-DA模型中的VIP值和非参数检验结果一致表明壬醛含量在不同季节凌云白毫茶中差异最大,且在夏茶中相对含量最大,平均相对含量达到6.05%,所以壬醛是区分凌云白毫绿茶中夏茶与春、秋茶的特征香气成分。综上分析,发现同一区香气成分含量在同一季节凌云白毫茶的不同样品中分布不同,可能由于同一季节的5 个茶样分别来自不同的茶区,说明除季节外,种植区域也是影响茶叶香气形成的因素;另外,I区化合物主要在秋茶中相对含量较高,II区化合物主要在春茶中相对含量较高,III区化合物在夏茶中相对含量最高,且I区和II区化合物香气特征中含有花香味,而III区化合物未有花香的香气特征,这与普遍的绿茶感官评审中春茶和秋茶有花香,而夏茶没有花香的结果一致[1,7,26]。
本研究通过动态顶空-气相色谱-质谱技术对春、夏、秋3 季凌云白毫绿茶的香气成分进行定性定量测定,共鉴定出37 种化合物,且不同季节凌云白毫绿茶的香气成分组成基本一致,包括醇类(13 种)、酮类(3 种)、酯类(3 种)、烷烃类(3 种)、醛类(9 种)、杂环类(2 种)及其他类(4 种)化合物,其中醇类和醛类化合物数量较多。对于每一季茶而言,37 种香气成分中的芳樟醇、正戊醇、香叶醇、L-薄荷醇、异丁醛、异戊醛、壬醛、乙酸乙酯、二甲硫醚、吲哚这些化合物的相对含量均较高,构成了广西凌云白毫绿茶清新、浓醇鲜爽、回味清甘的独特香气风味;另外,β-紫罗兰酮、己醛、芳樟醇3 种化合物对形成凌云白毫绿茶的板栗香有一定贡献作用。分析比较不同季节凌云白毫绿茶香气成分中各类化合物的差异,结果表明春茶香气成分中烷烃类要显著高于夏茶,杂环类以及其他中的萜类也稍高于夏茶、秋茶,夏茶中的酮类和醛类相对含量高于其他季节,秋茶中醇类化合物相对含量极显著高于春茶和夏茶。
本研究建立基于茶叶香气成分判别3 季凌云白毫绿茶的PLS-DA模型,结果表明15 个样品中没有离群样本点,建立的PLS-DA模型可以将3 个季节的茶样明显区分,且模型可靠,可用于各自类别的判别分析;然后本研究结合建立的PLS-DA模型中VIP值大于1的变量和非参数检验中Kruskal Wallis检验的差异显著性分析结果,最终鉴定出12 种香气成分是区分不同季节凌云白毫绿茶的关键化合物,分别为壬醛、β-紫罗兰酮、L-薄荷醇、3,5-辛二烯-2-酮、反-橙花叔醇、苯甲醇、正戊醇、十三烷、顺式-2-戊烯-1-醇、顺-茉莉酮、十四烷、叶醇。
为直观了解12 种关键香气成分分别在3 季凌云白毫绿茶中含量的分布,通过绘制热图,并采用层次聚类分析法对12 种香气成分进行聚类。结果表明,L-薄荷醇和β-紫罗兰酮在秋茶中相对含量最高,是凌云白毫秋茶区别于春茶和夏茶的特征香气成分,这2 种香气成分主要表现为花香、果香、薄荷味,而且在秋茶中表现的气味更加浓郁,即对秋茶的综合香气贡献更大;苯甲醇和正戊醇在春茶中相对含量较高,是春茶区别于夏茶和秋茶的特征香气成分,主要表现为果香、杏仁苦味,而且在春茶中表现的气味更加浓郁,在春茶的综合香气中贡献相对较大;壬醛、3,5-辛二烯-2-酮、反-橙花叔醇在夏茶中相对含量最高,是夏茶区别于春茶和秋茶的特征香气成分,香气主要为柑橘柠檬香、水果甜香,而且在夏茶中表现的气味更加浓郁,对夏茶的综合香气贡献更大。这与Kang等[16]表明的绿茶春茶中苯甲醇含量显著较高,且夏茶中醛酮化合物含量较高的结果相近。
相关研究表明[1-2,7]凌云白毫绿茶的感官特征为清香型、板栗香型、茶香型、鲜爽型、粗青气和青草气型,另外,叶国注[24]、尹洪旭[17]、张铭铭[25]、赖幸菲[26]等均探究了栗香型绿茶的特征化合物,而本研究中鉴定的β-紫罗兰酮、己醛、芳樟醇这3 种化合物与前人研究结果一致,未鉴定出其他与栗香相关的化合物,可能与样品前处理方式不同有关[30],相关研究[17,24-26]通过顶空固相微萃取技术富集样品香气成分,而本研究通过动态顶空方式,即先吹扫捕集再高温脱附的方式;还可能与茶叶品种也有关[20,31-33],例如尹洪旭等[17]研究的板栗香型绿茶多为龙井茶,而本研究探讨的为凌云白毫绿茶;张铭铭等[25]研究表明茶叶表现出的栗香可能是多种香气成分以一定比例相协调作用的结果,并不是某一化合物本身具有的栗香香气,所以形成凌云白毫茶板栗香型的香气成分有待进一步探讨。本研究发现有些香气成分含量在同一季节凌云白毫茶的不同样品中分布差异较大,可能由于同一季节的5 个茶样分别来自不同的茶区,说明除季节外,种植区域也是影响茶叶香气形成的因素[34-35],今后可扩大样本量,开展不同种植区域凌云白毫茶的香气成分差异研究。凌云白毫茶属于能适制6 大茶类的全能茶树品种[1-2],本研究仅对不同季节凌云白毫茶加工的绿茶中香气成分的差异进行探究,在今后的研究中需对不同季节凌云白毫茶其他适制茶类的香气成分差异进行探讨。
[1] 南国有佳木: 记国家地理标志产品凌云白毫茶[J]. 标准生活,2017(7): 92-96.
[2] 农艳芳, 郭先寿. 凌云白毫茶的品质基础及潜力[J]. 广西热作科技,1998(2): 17-19.
[3] 宛晓春. 茶叶生物化学[M]. 3版. 北京: 中国农业出版社, 2003.
[4] 国家质量监督检验检疫总局, 国家标准化管理委会. 茶叶感官审评方法: GB/T 23776—2018[S]. 北京: 中国标准出版社, 2018.
[5] 陈岱卉, 叶乃兴, 邹长如. 茶树品种的适制性与茶叶品质[J]. 福建茶叶, 2008, 30(1): 2-5. DOI:10.3969/j.issn.1005-2291.2008.01.001.
[6] 廖书娟, 童华荣. 不同茶树品种脂肪酸和糖苷类香气前体分析[J].西南大学学报(自然科学版), 2008, 30(8): 62-66. DOI:10.13718/j.cnki.xdzk.2008.08.022.
[7] 黎金兰, 苏锦兴, 苏孔武. 广西凌云白毫茶[J]. 茶叶通讯, 2004(2):33-35.
[8] 张兴思, 骆桂江, 杨昌勤, 等. 凌云白毫茶高产优质栽培技术研究[J].农业与技术, 2015, 35(5): 87-88.
[9] 庞月兰, 杨春, 林国轩, 等. 凌云白毫茶红条茶萎凋工艺研究[J].西南农业学报, 2017, 30(5): 1214-1217. DOI:10.16213/j.cnki.scjas.2017.5.039.
[10] 杨春, 刘晓东, 庞月兰, 等. 凌云白毫茶品种特征特性及其加工白茶关键技术研究[J]. 安徽农业科学, 2014, 42(14): 4428-4429; 4448.DOI:10.3969/j.issn.0517-6611.2014.14.097.
[11] 罗志达, 肖小雪, 覃秀菊. 凌云白毫茶系统选育研究初报[J]. 广西农学报, 2015, 30(4): 26-29. DOI:10.3969/j.issn.1003-4374.2015.04.007.
[12] 唐军, 廖享, 童红, 等. 基于气质与PLS-DA对新疆薰衣草精油判别分析[J]. 计算机与应用化学, 2014, 31(6): 701-704. DOI:10.11719/com.app.chem20140613.
[13] 王顾希, 李怀平, 吴微, 等. DHS-GC-MS结合主成分分析法分析绿茶香气成分[J]. 中国测试, 2018, 44(4): 57-63. DOI:10.11857/j.issn.1674-5124.2018.04.011.
[14] 颜鸿飞, 彭争光, 李蓉娟, 等. GC-TOF MS结合化学计量学用于安化黑茶的识别[J]. 食品与机械, 2017, 33(8): 34-37; 65. DOI:10.13652/j.issn.1003-5788.2017.08.009.
[15] 刘彬球, 陈孝权, 吴晓刚, 等. PCA和PLS-DA用于晒青毛茶级别分类研究[J]. 茶叶科学, 2015, 35(2): 179-184. DOI:10.3969/j.issn.1000-369X.2015.02.014.
[16] KANG S Y, 朱荫, 郑新强, 等. 不同季节绿茶香气成分的判别与聚类分析[J]. 食品科学, 2018, 39(14): 268-275. DOI:10.7506/spkx1002-6630-201814040.
[17] 尹洪旭, 杨艳芹, 姚月凤, 等. 基于气相色谱-质谱技术与多元统计分析对不同栗香特征绿茶判别分析[J]. 食品科学, 2019, 40(4): 192-198. DOI:10.7506/spkx1002-6630-20180120-276.
[18] 冉坚, 张琦, 刘淼, 等. 基于氢核磁共振和偏最小二乘法-判别分析建立鹿龟酒质量控制方法的研究[J]. 食品科学, 2012, 33(7): 69-72.
[19] 陈晓东, 郭培源. 基于主成分分析法提取高光谱图像特征检测香肠亚硝酸盐含量[J]. 肉类研究, 2016, 30(12): 22-27. DOI:10.15922/j.cnki.rlyj.2016.12.005.
[20] 王梦琪, 朱荫, 张悦, 等. “清香”绿茶的挥发性成分及其关键香气成分分析[J]. 食品科学, 2019, 40(22): 219-228. DOI:10.7506/spkx1002-6630-20181229-349.
[21] 王海利, 杨秀芳, 孔俊豪, 等. 不同品种名优绿茶理化品质及挥发性成分分析[J]. 食品工业科技, 2019, 40(18): 217-223. DOI:10.13386/j.issn1002-0306.2019.18.035.
[22] 贺麟, 李宗琼, 张拓, 等. 夏季茶鲜叶加工花香型绿茶工艺技术研究[J]. 食品与机械, 2019, 35(6): 195-200. DOI:10.13652/j.issn.1003-5788.2019.06.035.
[23] 孙灵湘, 董明辉, 顾俊荣, 等. 典型名优绿茶香气化学研究进展[J]. 食品科学技术学报, 2019, 37(1): 62-71. DOI:10.3969/j.issn.2095-6002.2019.01.010.
[24] 叶国注, 江用文, 尹军峰, 等. 板栗香型绿茶香气成分特征研究[J].茶叶科学, 2009, 29(5): 385-394.
[25] 张铭铭, 尹洪旭, 邓余良, 等. 基于HS-SPME/GC×GC-TOFMS/OAV不同栗香特征绿茶关键香气组分分析[J]. 食品科学, 2020, 41(2):244-252. DOI:10.7506/spkx1002-6630-20190126-337.
[26] 赖幸菲, 潘顺顺, 李裕南, 等. 不同季节和茶类的金萱品种茶叶香气成分分析[J]. 食品工业科技, 2015, 36(10): 62-68; 72. DOI:10.13386/j.issn1002-0306.2015.10.004.
[27] 苏敏, 韦柳花, 刘初生, 等. 不同季节修仁品种茶叶香气成分的GC-MS分析[J]. 西南农业学报, 2017, 30(7): 1538-1545.DOI:10.16213/j.cnki.scjas.2017.7.013.
[28] WOLD S, SJÖSTRÖM M, ERIKSSON L. PLS-regression: a basic tool of chemometrics[J]. Chemometrics and Intelligent Laboratory Systems,2001, 58(2): 109-130. DOI:10.1016/S0169-7439(01)00155-1.
[29] COMPANY T G S. TGSC information system[DB/OL]. http://www.thegoodscentscompany.com/search3.php?qFlavor=78-70-6&submit.x=8&submit.y=9.
[30] 赵玥, 肖成杰, 蔡宝国, 等. 气相色谱-质谱法中4 种不同捕集方式对茶叶香气成分测定的影响[J]. 食品科学, 2011, 32(16): 283-289.
[31] 杨培迪, 刘振, 赵洋, 等. 不同茶树品种绿茶干茶色泽及香气分析[J].分子植物育种, 2020, 18(15): 5115-5126.
[32] 朱荫, 邵晨阳, 张悦, 等. 不同茶树品种龙井茶香气成分差异分析[J]. 食品工业科技, 2018, 39(23): 241-246; 254. DOI:10.13386/j.issn1002-0306.2018.23.042.
[33] 汪琦, 赵贵福, 张续周, 等. 4 个茶树品种与季节对绿茶香气成分特征的影响[J]. 食品科学, 2016, 37(20): 102-107. DOI:10.7506/spkx1002-6630-201620017.
[34] 张悦, 朱荫, 叶火香, 等. 不同产地香茶的主要化学成分含量的差异分析[J]. 食品科学, 2017, 38(22): 184-191. DOI:10.7506/spkx1002-6630-201722028.
[35] 马会杰, 蒋宾, 潘玉兰, 等. 电子鼻对不同产地名优绿茶和红茶香气特征的判别研究[J]. 食品科技, 2019, 44(1): 336-344.