不同解冻方式对冷冻竹荚鱼品质的影响

王雪松1,谢 晶1,2,3,*

(1.上海海洋大学食品学院,上海 201306;2.食品科学与工程国家级实验教学示范中心(上海海洋大学),上海 201306;3.上海冷链装备性能与节能评价专业技术服务平台,上海 201306)

摘 要:为了提高冷冻竹荚鱼的解冻品质,本实验采用5 种不同的解冻方式(冷藏解冻、流水解冻、超声波流水解冻、超声波静水解冻、微波解冻)对冷冻竹荚鱼进行解冻处理,分析了鱼肉保水性、色泽、质构、高铁肌红蛋白质量分数、丙二醛含量、总巯基含量以及蛋白三级结构等理化指标的变化,并通过脉冲核磁共振分析仪分析了鱼肉中不同状态水分间的迁移情况,以及用光学显微镜观察了鱼肉组织的微观结构。结果表明:冷藏解冻后的鱼肉具有较好的保水性和色泽,肌肉组织最完整,并且可以有效缓解蛋白质和脂肪的氧化,但是解冻时间最长。超声波流水解冻可以10 min内完成鱼肉的解冻,适用于大批量解冻,相比于除冷藏解冻外的其他3 种解冻方式,可以有效减缓鱼肉蛋白质和脂肪的氧化,较好地保持鱼肉品质。

关键词:竹荚鱼;解冻方式;超声波流水解冻;冷藏解冻;品质

竹荚鱼也称为马鲭鱼、巴浪鱼。竹荚鱼的食用价值很高,其不饱和脂肪酸多,血红素含量丰富,此外还富含钙、锌、铁和VA、VE等[1]。竹荚鱼在世界海洋渔业中占有极其重要的地位,其捕捞量居世界所有单一渔捞种类的第三位,农业农村部已将其列入我国远洋渔业今后的重点研究对象之一[2]。目前竹荚鱼主要靠远洋捕捞,为延长其货架期,捕捞之后会立即冻藏储存,到岸后常被加工成鱼糜、罐头等食品,因此解冻是竹荚鱼加工最为关键的一步[3]。因此,研究一种适合冷冻竹荚鱼的最佳解冻方式有助于提高其食用价值和经济价值。

解冻是冷冻食品加工之前最为重要的环节,其目的是尽可能地恢复食物的原始品质。不同的解冻方式因其解冻所用介质与参数不同,对鱼肉的理化性质也有不同影响[4]。谭明堂等[5]研究了不同解冻方式对冷冻鱿鱼品质的影响,结果发现经过流水解冻后的鱿鱼在保水性、色差、水分迁移、蛋白质和脂肪氧化程度均优于其他各组,并且弹性好于空气解冻和静水解冻,肌纤维组织相对于超声波静水解冻和微波解冻更加紧密。欧阳杰等[6]研究表明不同解冻方式对大黄鱼的解冻效率以及品质都有不同的影响。郭恒[4]、刘欢[7]等分别研究了不同解冻温度、不同解冻方式对冷冻鲐鱼品质、质构及微观结构的影响,发现在低温解冻下的鱼肉组织保持最好;鼓风流水解冻作为一种新型的解冻方法是最适合用于解冻鲐鱼的方法。Roiha等[8]使用3 种解冻方式处理冷冻大西洋鳕鱼,发现有空气循环的水解冻比没有空气循环的水解冻和平板解冻更快,最适合海上冷冻鱼批量解冻。Li Xiuxia等[9]研究不同功率超声波静水解冻对金枪鱼持水力、肌原纤维蛋白结构的影响,发现超声波解冻会显著提高解冻后的持水力,并且越高的超声功率会促使蛋白质结构的破坏越严重。综上所述,超声波解冻和流水解冻可以显著加快解冻速率,是现阶段的研究热点。本研究将超声波流水解冻引入实验,通过分别采用冷藏解冻(冷空气解冻)、流水解冻、超声波静水解冻、超声波流水解冻以及微波解冻5 种方法对冷冻竹荚鱼进行解冻操作,寻找最佳解冻工艺,以保障冷冻竹荚鱼解冻后的品质。

1 材料与方法

1.1 材料与试剂

冷冻竹荚鱼购于福建漳州东山岛,鱼体长15~20 cm,单体质量为(100±30)g,运输时长10 h,收货后立即贮藏于-18 ℃冰箱。

体积分数10%的福尔马林、无水乙醇、二甲苯、苏木精染色液、伊红染色液、三氯乙酸、KCl(分析纯) 生工生物工程(上海)股份有限公司;微量总巯基测试盒、丙二醛(malondialdehyde,MDA)测试盒、Bradford法蛋白检测试剂盒 南京建成生物工程研究所。

1.2 仪器与设备

TMS-Pro型质构仪 美国FTC公司;NetDAQ32多点温度采集仪 美国Fluke公司;JDP-Q SERIES型水泵 浙江森森集团股份有限公司;SK5200HP型超声波清洗器 上海科导超声仪器有限公司;NN-GD568 2 450 Hz型微波炉 上海松下微波炉有限公司;PB-10精密数显酸度计 德国赛多利斯科学仪器有限公司;PQ001台式脉冲核磁共振分析仪 上海纽迈公司;Eclipse E200生物显微镜 日本尼康仪器有限公司;CR-400型色彩色差计 日本柯尼卡美能达公司;F-7100荧光分光光度计 日本日立公司。

1.3 方法

1.3.1 原料处理

从冰箱取出-18 ℃冷冻的竹荚鱼,分成5 组,每组3 条,分别按照表1中的不同解冻方式对整条鱼进行解冻,其中超声波流水装置为自制,具体见图1。各组均采用多路热电偶测定温度,待鱼体中心温度达到5 ℃即为解冻结束,并进行各项指标的测定。

表1 竹荚鱼的5 种解冻方式
Table 1 Experimental conditions of five thawing methods for horse mackerel

解冻方式 操作方法冷藏解冻 样品置于不锈钢托盘上,放在(4±1)℃冰箱冷藏室中进行解冻流水解冻 样品置于流水装置中进行解冻,水温(25±1)℃超声波流水解冻 样品置于超声流水装置中进行解冻,超声功率为200 W,水温(25±1)℃超声波静水解冻 样品置于超声清洗装置中进行解冻,超声功率为200 W,水温(25±1)℃微波解冻 样品置于微波炉中进行解冻,功率选择150 W

图1 超声波流水解冻装置示意图
Fig.1 Schematic diagram of the ultrasonic-assisted owing water thawing device

1.3.2 指标测定

1.3.2.1 解冻损失率测定

解冻损失率按照公式(1)计算。

式中:m1代表竹荚鱼解冻前的质量/g;m2代表竹荚鱼解冻后的质量/g。

1.3.2.2 持水力测定

称取2 g左右切碎的竹荚鱼肉(m3/g),用滤纸包好放入50 mL离心管中,4 ℃、5 000 r/min条件下离心10 min,取出样品,剥去滤纸,称量离心后鱼肉质量(m4/g),重复3 次,取平均值。持水力按照公式(2)计算。

1.3.2.3 蒸煮损失率测定

取竹荚鱼样品(2.0 cm×2.0 cm×1.0 cm),在85 ℃的水浴锅中加热15 min后并冷却至室温,用吸水纸吸干竹荚鱼表面水分,按照公式(3)计算竹荚鱼的蒸煮损失率。

式中:m5表示蒸煮前的竹荚鱼样品质量/g;m6表示蒸煮后竹荚鱼样品的质量/g。

1.3.2.4 色泽测定

取解冻后的竹荚鱼肉,使用CR-400色彩色差计测定其色差值L*、a*和b*,每次测量前用白板对色差计进行校正。

1.3.2.5 质构特性测定

质构特性测定参考Torres等[10]的方法,并进行一定修改。取解冻后的竹荚鱼肉(2.0 cm×2.0 cm×1.0 cm),采用TMS-Pro型质构仪测定,使用P/6平底柱形探头,测前速率为4 mm/s,测试速率为5 mm/s,形变量为60%,回程距离为20 mm。每组样品平行测定5 次。

1.3.2.6 pH值测定

准确称取2 g解冻后的竹荚鱼样品,加入18 mL蒸馏水后机械匀浆,然后3 000 r/min离心10 min,然后取上清液用酸度计测定其pH值。

1.3.2.7 水分分布测定

参考Gudjónsdóttir等[11]的方法利用核磁共振分析仪测定水分分布。取解冻后竹荚鱼的背部肌肉切成2.0 cm×2.0 cm×1.0 cm鱼块,设置核磁共振分析仪的参数:磁体-探针选项:MesoMR23-060H-I-70mm;SW=100 kHz、RG1=20、P1=18.00 μs、DRG1=3、TD=160 014、PRG=1、TW=5 000 ms、NS=8、P2=37.00 μs、TE=0.400、NECH=4 000,迭代反演之后得到横向弛豫时间T2图谱。在将样品放入直径为60 mm的核磁检测管中,通过PQ001台式脉冲核磁共振分析仪进行成像,然后对质子密度图进行统一映射和伪彩,得到核磁共振成像图。

1.3.2.8 MDA含量测定

取解冻后切碎的竹荚鱼肉2 g,按照1∶9(m/V)加入18 mL生理盐水,机械匀浆,以5 000 r/min离心10 min。采用MDA测试盒测定鱼肉中MDA的含量。

1.3.2.9 高铁肌红蛋白质量分数测定

参考余文晖等[12]的方法测定高铁肌红蛋白质量分数。取2 g切碎的竹荚鱼肉,加入20 mL的0.02 mol/L磷酸盐缓冲溶液,在0 ℃的条件下匀浆1 min,然后离心10 min(10 000×g、4 ℃),取上清液,通过分光光度计测得在525、545、565、572 nm波长处的吸光度,高铁肌红蛋白质量分数按照公式(4)进行计算。

1.3.2.10 总巯基含量的测定

肌原纤维蛋白的提取方法:准确称取2 g绞碎的鱼肉,加入20 mL缓冲液A(20 mmol/L pH 7.0 Tris-maleate、0.05 mol/L KCl)匀浆,经冷冻离心(4 ℃、10 000×g)15 min后弃上清液,重复洗涤两次后向沉淀中加入20 mL的缓冲液B(20 mmol/L pH 7.0 Tris-maleate、0.6 mol/L KCl),匀浆后,4 ℃条件下提取2 h,10 000 r/min低温离心15 min,上清液即为肌原纤维蛋白溶液。并用Bradford法蛋白检测试剂盒测定肌原纤维蛋白的质量浓度。用微量总巯基测试盒法测定竹荚鱼肉的总巯基含量,结果以蛋白质量计。

1.3.2.11 蛋白三级结构的测定

根据Li Fangfei等[13]的方法。使用F-7100荧光分光光度计测定肌原纤维蛋白溶液的固有荧光发射光谱,发射波长为295 nm,狭缝宽度为5 nm,发射光谱范围为310~400 nm,扫描速率为1 200 nm/min。

1.3.2.12 微观结构的观察

参考汤元睿等[14]的方法,取鱼背部肌肉3.0 mm×3.0 mm×3.0 mm小块,置于体积分数5%的福尔马林溶液中静置24 h,然后用体积分数95%、90%、80%、70%、60%乙醇溶液依次梯度脱水,二甲苯透明处理,用石蜡包埋,制成1 cm3的石蜡块,然后用切片机切片,最后用苏木精-伊红法染色后,在光学显微镜下观察。

1.4 数据处理与分析

除特殊说明外,实验均设3 组平行。实验数据使用SPSS 20.0软件进行单因素方差分析,采用Origin 2018软件进行绘图。

2 结果与分析

2.1 不同解冻方式对竹荚鱼解冻时间的影响

经测定,冷藏解冻、流水解冻、超声波流水解冻、超声波静水解冻、微波解冻竹荚鱼的解冻时间分别为28 200、1 020、600、720、420 s。冷藏解冻耗时最长,微波解冻耗时最短,但是由于竹荚鱼个体大小的差异,微波解冻过程温度分布不均,解冻时会导致鱼尾产生烧焦的现象。流水解冻因其流动的水从而加快了解冻的传热过程。超声波解冻通过超声波作用水,产生空化气泡,也会提高传热效率,缩短解冻时间[15]。超声波流水解冻是将超声波与水流动的效果叠加作用,因此其解冻时间比两者单独作用都短,10 min可以完成鱼肉的解冻。

2.2 不同解冻方式对竹荚鱼保水性的影响

表2 解冻方式对竹荚鱼保水性的影响
Table 2 Effects of different thawing methods on water-holding capacity of horse mackerel

注:同行肩标小写字母不同表示差异显著(P<0.05)。表3、4同。

指标 冷藏解冻 流水解冻 超声波流水解冻 超声波静水解冻 微波解冻解冻损失率/% 10.72±0.11c 11.19±0.17c 10.92±0.13c 12.83±0.23b 13.66±0.18a持水力/% 73.33±0.42a 70.17±0.54bc 72.74±1.06a 71.45±0.42b 69.59±0.89c蒸煮损失率/% 20.21±0.35b 23.49±0.88a 19.63±1.07b 20.94±1.46b 24.33±0.96a

由表2可以看出,冷藏解冻可以很好地保持鱼肉中的水分,这是由于冷藏解冻温度低且过程较温和,有效地减弱了生化反应强度以及抑制了微生物的繁殖,肌肉组织的损伤较小,组织间隙中冰晶融化成的水可以回吸到细胞中[16]。超声波流水解冻后的鱼肉保水性与冷藏解冻组无显著差异(P>0.05),优于其他3 种解冻方式(P<0.05),因为在超声波与循环流动的水共同作用下,换热效率得以增强,较快通过最大冰晶融解带(-5~0 ℃),从而减少鱼肉蛋白的降解,蛋白质的水合作用降低,并且降低了对肌原纤维结构的破坏,能够较好维持鱼肉的保水率。刘欢等[7]的研究发现鼓气流水解冻能较好地维持鱼肉的持水力。微波解冻保水性较差,这可能由于解冻温度较高,加剧了蛋白质变性程度,从而破坏了鱼肉组织结构,造成细胞持水能力下降[17]

2.3 不同解冻方式对竹荚鱼色泽与pH值的影响

表3 解冻方式对竹荚鱼色泽和pH值的影响
Table 3 Effects of different thawing methods on color and pH of horse mackerel

指标 冷藏解冻 流水解冻 超声波流水解冻 超声波静水解冻 微波解冻L* 44.87±2.61a 43.52±0.80ab 44.16±3.98ab 39.84±1.73bc 38.78±0.42c a* 5.44±1.90a 3.52±0.39b 5.25±0.95a 4.60±0.21b 4.47±0.78b b* 4.82±1.14a 4.62±0.46a 4.67±0.41a 4.55±0.36a 4.02±0.18a pH 6.18±0.03b 6.22±0.11ab 6.31±0.03a 6.15±0.02b 6.17±0.02b

食品的色泽是评价食品是否变质的一个主观指标,直接反映了消费者的接受程度[18]。由表3可知,冷藏解冻和超声波流水解冻后,竹荚鱼鱼肉的a*值显著高于其余3 组(P<0.05),说明冷藏解冻和超声波流水解冻后的鱼肉红度值较高,颜色较好。冷藏解冻可能是由于4 ℃低温环境缓解了鱼肉氧合肌红蛋白的氧化,抑制了微生物的繁殖,这一现象与张帆等[19]的研究结果相一致。超声波流水解冻是因为解冻速率快,可以降低肌红蛋白的氧化程度,从而维持鱼肉的色泽。各组的b*值没有显著性差异(P>0.05)。微波解冻后的鱼肉L*值最低,说明鱼肉的光泽最差,可能是由于微波解冻加热不均匀且温度过高,使部分鱼肉熟化,导致其光泽下降。

在解冻过程中,鱼肉中无机磷酸与乳酸的积累以及三磷酸腺苷的降解,会导致pH值的下降,从而影响鱼肉的鲜度[20]。从表3可以看出,超声波流水解冻组鱼肉的pH值最高,为6.31,显著高于冷藏解冻、超声波静水解冻和微波解冻组(P<0.05),与流水解冻的鱼肉pH值差异不显著(P>0.05),说明该种解冻方式可以抑制解冻过程中鱼肉的糖酵解反应,减缓鱼肉的酸败。

2.4 不同解冻方式对竹荚鱼高铁肌红蛋白质量分数的影响

图2 解冻方式对竹荚鱼高铁肌红蛋白质量分数的影响
Fig.2 Effects of different thawing methods on MetMb content of horse mackerel

小写字母不同表示差异显著(P<0.05)。下同。

高铁肌红蛋白含量是反映红肉鱼的色泽变化的指标。通常,肌红蛋白以还原形式亚铁肌红蛋白形式存在,该还原形式与氧气结合形成氧合肌红蛋白,使鱼肉呈现鲜红色;由于外界条件(温度、时间、氧气量)的改变,氧合肌红蛋白易被氧化成高铁肌红蛋白,导致鱼肉褐变[21]。图2显示出不同解冻方式后竹荚鱼鱼肉的高铁肌红蛋白质量分数,高铁肌红蛋白质量分数越小,鱼肉色泽保持越好。微波解冻后的鱼肉高铁肌红蛋白质量分数最低,可能是由于解冻速率快,有效抑制了鱼肉肌红蛋白氧化,但是微波会使鱼肉部分熟化,造成竹夹鱼鱼肉色泽分布不均匀。冷藏解冻过程O2含量充足,流水解冻下导致鱼肉失水率较高,以及超声波静水解冻增加鱼体温度,均会导致鱼肉肌红蛋白氧化。因此,相比其他4 种解冻方式,超声波流水解冻能更好地保持竹荚鱼鱼肉的色泽。

2.5 不同解冻方式对竹荚鱼脂肪氧化的影响

MDA是食品脂肪变质过程中的最终氧化产物,其含量直接反映了鱼肉解冻后脂肪氧化程度,MDA含量越高,说明脂肪氧化程度越高[22]。由图3可知,微波解冻后的鱼肉MDA含量最高,达到5.44 nmol/mg,这可能是由于微波解冻下产生的能量较高,促进了脂肪氧化,与Ersoy等[23]的研究结果一致。超声波静水解冻的MDA含量(5.05 nmol/mg)仅次于微波解冻,这与超声过程中水温升高加快了鱼肉脂肪中过氧化物的分解有关。冷藏解冻、流水解冻和超声波流水解冻组的MDA含量差异不显著(P>0.05),脂肪氧化程度均较低,且超声波流水解冻后鱼肉的MDA含量最低(4.23 nmol/mg),可能是由于流动的水会加速冰晶的融解,迅速通过-5~0 ℃这一生化反应最剧烈的过程。

图3 解冻方式对竹荚鱼MDA含量的影响
Fig.3 Effects of different thawing methods on MDA content of horse mackerel

2.6 不同解冻方式对竹荚鱼质构特性的影响

表4 解冻方式对竹荚鱼质构特性的影响
Table 4 Effects of different thawing methods on texture characteristics of horse mackerel

指标 冷藏解冻 流水解冻 超声波流水解冻 超声波静水解冻 微波解冻硬度/g 5 504.48±475.27b3 128.45±424.29c5 360.38±315.24b7 103.40±831.87a3 925.53±917.42c胶黏度/(g·s) 13.46±1.20a 14.54±3.82ab 19.10±7.14ab 10.55±5.79a 24.96±5.91b弹性 0.587±0.074b 0.631±0.049ab 0.663±0.052ab 0.734±0.063a 0.586±0.045b黏聚性/g 0.344±0.006b 0.367±0.052ab 0.663±0.034ab 0.418±0.031a 0.399±0.034ab咀嚼度/mJ 1 151.96±167.64b 724.07±145.11b 1 297.09±174.63b2 338.45±624.00a 982.95±280.90b

食品的质构特性包括一些相关的物理性质,例如硬度、胶黏度、咀嚼度、弹性、黏聚性[24]。由表4可以看出,竹荚鱼经过超声波静水解冻的硬度、弹性、咀嚼度最高,这一结果与谭明堂等[5]的研究结果一致。硬度是一种可较好解释鱼肉质地变化的指标,有研究表明鱼肉质地下降与蛋白质变性有关[25]。流水解冻与微波解冻后的鱼肉硬度和咀嚼度最低,可能是由于这两种解冻方式使鱼肉肌原纤维蛋白变性程度高,细胞间的结合力变小,因而鱼肉质地较软。超声波流水解冻后的鱼肉硬度、弹性、咀嚼度仅次于超声波静水解冻,胶黏度与黏聚性较好,说明超声波流水解冻可以有效抑制蛋白质变性和降解,减少汁液流失,较好地保护了鱼肉的质构特性。

2.7 不同解冻方式对竹荚鱼蛋白氧化的影响

巯基是水产品蛋白中重要的活性基团,可以稳定肌原纤维蛋白空间结构。解冻过程中,若巯基被氧化,会使蛋白分子间发生交联作用形成二硫键,从而使巯基含量减小[26]。荧光光谱法在食品加工或存储过程中可以跟踪蛋白质的三级结构转变。当蛋白三级结构被破坏时,色氨酸和其他疏水性氨基酸残基脱离蛋白质的核心,导致荧光强度降低[27]。由图4、5可知,冷藏解冻组的总巯基含量和荧光强度最高,是由于冷藏解冻过程始终保持低温的环境,从而减缓了对蛋白质结构的氧化。超声波流水解冻组的总巯基含量和荧光强度均低于冷藏解冻组,总巯基含量与冷藏解冻组差异不显著(P>0.05),说明超声波和流水联合的解冻方式加快了解冻速率,从而减缓了鱼肉蛋白质的氧化。流水、超声波静水、微波解冻3 组的总巯基含量较低,且荧光强度低于冷藏解冻组和超声波流水解冻组,说明这3 种解冻方式均会导致蛋白质结构较高程度展开,从而导致鱼肉的肌肉结构受损。综上,冷藏解冻可以有效减缓竹荚鱼肉蛋白的氧化,维持蛋白三级结构的完整性。

图4 解冻方式对竹荚鱼总巯基含量的影响
Fig.4 Effects of different thawing methods on total protein sulfhydryl content of horse mackerel

图5 解冻方式对竹荚鱼蛋白三级结构的影响
Fig.5 Effects of different thawing methods on protein tertiary structure in horse mackerel

2.8 不同解冻方式对竹荚鱼水分迁移的影响

竹荚鱼样品中的3 种水分形式是通过脉冲核磁共振分析仪测定的,图6A为不同解冻方式组鱼肉的横向弛豫时间T2图谱,每组均出现3 个峰,从左到右分别代表结合水T21(0.1~10 ms)、不易流动水T22(10~100 ms)和自由水T23(100~10 000 ms)[28]。不同解冻方式下3 种水分形式的相对含量见图6B,超声波静水解冻后的竹荚鱼自由水(T23)相对含量最高(P<0.05),说明该种解冻方式导致鱼肉组织内的水分易于迁出,这是由于肌原纤维蛋白结构破坏较为严重,促使不易流动水向自由水转变所致。其他4 种解冻方式解冻后的鱼肉不易流动水(T22)相对含量差异性不显著(P>0.05),冷藏解冻后的鱼肉自由水相对含量最低(2.36%),且超声流水解冻组结合水、不易流动水、自由水相对含量均与冷藏解冻组无显著差异,说明冷藏解冻和超声波流水解冻都可以很好保持竹荚鱼肌原纤维组织中的水分,与2.2节中的保水性研究结果一致。图6C是各组解冻方式的核磁共振成像图,图像越趋于红色说明水分信号越强,水分含量越高[29]。从图6C可以很明显看出,超声波流水解冻和冷藏解冻两组的核磁图像的红色区域多于其他3 组,同样证明这两组具有很好的保水性。

图6 解冻方式对竹荚鱼横向弛豫时间T2、水分分布的影响及核磁共振成像
Fig.6 Effect of different thawing methods on T2 relaxation time and changes in water distribution of horse mackerel and magnetic resonance images

A.弛豫时间T2分布图;B.各状态水分含量图;C.核磁共振成像图,下标1~5.分别表示冷藏解冻、流水解冻、超声波流水解冻、超声波静水解冻、微波解冻。

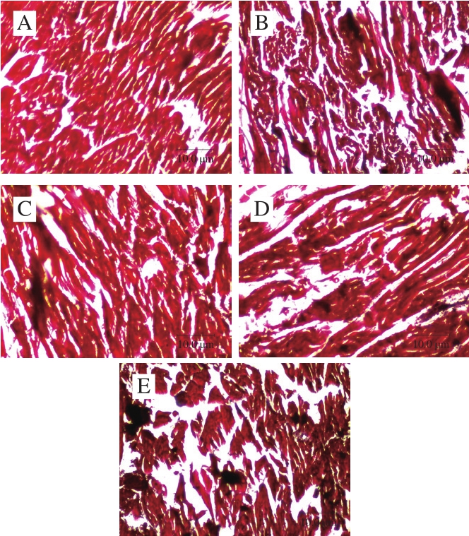
2.9 不同解冻方式对竹荚鱼微观结构的影响

图7 解冻方式对竹荚鱼微观结构的影响(×100)
Fig.7 Effects of different thawing methods on microstructure of horse mackerel (× 100)

A.冷藏解冻;B.流水解冻;C.超声波流水解冻;D.超声波静水解冻;E.微波解冻。

由图7可知,冷藏解冻后的鱼肉肌肉纤维排列最紧密,肌肉微观组织破坏最小,李慢等[30]同样发现冷藏解冻对中国对虾的肌肉组织破坏最小。相比于除冷藏解冻组外的其他3 组,超声波流水解冻组鱼肉微观结构破坏较小,最接近冷藏解冻组,可能是由于流动水加快反应速率,降低了超声波对鱼肉组织的破坏,与对蛋白三级结构的研究结果一致。流水解冻和超声波静水解冻后鱼肉组织结构受到一定程度的损害,组织不再紧凑,肌纤维间的间隙有所增大。微波解冻后的鱼肉由于解冻过程受热不均匀,肌纤维裸露空间明显,组织失水最多,结构受损最严重。综上,冷藏解冻组和超声波流水解冻组的肌纤维结构优于其余3 组,竹荚鱼组织结构的完整性保持较好。

3 结 论

本研究发现,在5 种解冻方式中,竹荚鱼经过流水解冻和超声波静水解冻后鱼肉品质较差;微波解冻所用时间最短,但是由于鱼体受热不均匀,会出现鱼头鱼尾焦化,会使鱼肉肌肉品质和水分损失较为严重;冷藏解冻和超声波流水解冻后,鱼肉蛋白和脂肪氧化程度均较低,微观组织均较紧密完整,可以很好地保证鱼肉解冻后的品质;但是,冷藏解冻耗时过长,严重降低了生产效率。因此,针对竹荚鱼这种需要大批量解冻的鱼类,超声波流水解冻是一种高效的解冻方式,既可以满足工厂生产的需求,也可以较好地保持竹荚鱼解冻后各方面的品质。

参考文献:

[1]毕士川, 黄冬梅, 罗建平.竹荚鱼强化鱼松的生产工艺[J].水产科技情报, 2003(4): 178-179.DOI:10.3969/j.issn.1001-1994.2003.04.012.

[2]陈必文, 张敏, 汪之和.竹荚鱼资源的利用和加工产品及其生产工艺[J].水产科技情报, 2005(5): 36-38.

[3]梁雯雯, 郭建, 汪秋宽, 等.不同解冻方式对鲢鱼肌球蛋白结构和性质的影响[J].食品工业科技, 2019, 40(21): 7-12.DOI:10.13386/j.issn1002-0306.2019.21.002.

[4]郭恒, 钱怡, 李颖杰, 等.解冻温度对冷冻鲐鱼品质、质构及超微结构的影响[J].中国食品学报, 2014, 14(12): 49-56.DOI:10.16429/j.1009-7848.2014.12.019.

[5]谭明堂, 谢晶, 王金锋.解冻方式对鱿鱼品质的影响[J].食品科学,2019, 40(13): 94-101.DOI:10.7506/spkx1002-6630-20181022-246.

[6]欧阳杰, 倪锦, 吴锦婷, 等.解冻方式对大黄鱼解冻效率和品质的影响[J].肉类研究, 2016, 30(8): 30-34.DOI:10.15922/j.cnki.rlyj.2016.08.006.

[7]刘欢, 陈雪, 宋立玲, 等.不同解冻方式对鲐鱼鲜度及品质的影响[J].食品科学, 2016, 37(10): 259-265.DOI:10.7506/spkx1002-6630-201610044.

[8]ROIHA I S, JÓNSSON Á, BACKI C J, et al.A comparative study of quality and safety of Atlantic cod (Gadus morhua) fillets during cold storage, as affected by different thawing methods of pre-rigor frozen headed and gutted fish[J].Journal of the Science of Food and Agriculture, 2018, 98(1): 400-409.DOI:10.1002/jsfa.8649.

[9]LI Xiuxia, SUN Pan, MA Yingying, et al.Effect of ultrasonic thawing on the water-holding capacity, physicochemical properties and structure of frozen tuna (Thunnus tonggol) myofibrillar proteins[J].Journal of the Science of Food and Agriculture, 2019, 99(11):5083-5091.DOI:10.1002/jsfa.9752.

[10]TORRES J A, SARAIVA J A, GUERRA-RODRÍGUEZ E, et al.Effect of combining high-pressure processing and frozen storage on the functional and sensory properties of horse mackerel (Trachurus trachurus)[J].Innovative Food Science and Emerging Technologies,2014, 21: 2-11.DOI:10.1016/j.ifset.2013.12.001.

[11]GUDJÓNSDÓTTIR M, ROMOTOWSKA P E, KARLSDÓTTIR M G, et al.Low field nuclear magnetic resonance and multivariate analysis for prediction of physicochemical characteristics of Atlantic mackerel as affected by season of catch, freezing method, and frozen storage duration[J].Food Research International, 2019, 116: 471-482.DOI:10.1016/j.foodres.2018.08.063.

[12]余文晖, 王金锋, 谢晶.不同解冻方式对金枪鱼品质的影响[J].食品与发酵工业, 2019, 45(12): 189-197.DOI:10.13995/j.cnki.11-1802/ts.019538.

[13]LI Fangfei, WANG Bo, KONG Baohua, et al.Decreased gelling properties of protein in mirror carp (Cyprinus carpio) are due to protein aggregation and structure deterioration when subjected to freeze-thaw cycles[J].Food Hydrocolloids, 2019, 97: 105223.DOI:10.1016/j.foodhyd.2019.105223.

[14]汤元睿, 谢晶, 李念文, 等.不同冷链物流过程对金枪鱼品质及组织形态的影响[J].农业工程学报, 2014, 30(5): 285-292.DOI:10.3969/j.issn.1002-6819.2014.05.036.

[15]蒋奕, 程天赋, 王吉人, 等.超声波解冻对猪肉品质的影响[J].肉类研究, 2017, 31(11): 14-19.DOI:10.7506/rlyj1001-8123-201711003.

[16]王凤玉.远洋渔获物(鱿鱼、秋刀鱼)冻藏和解冻过程品质变化规律研究[D].大连: 大连海洋大学, 2016: 12.

[17]侯晓荣, 米红波, 茅林春.解冻方式对中国对虾物理性质和化学性质的影响[J].食品科学, 2014, 35(4): 243-247.DOI:10.7506/spkx1002-6630-201404049.

[18]KONO S, KON M, ARAKI T, et al.Effects of relationships among freezing rate, ice crystal size and color on surface color of frozen salmon fillet[J].Journal of Food Engineering, 2017, 214: 158-165.DOI:10.1016/j.jfoodeng.2017.06.023.

[19]张帆, 范远景, 刘培志, 等.不同解冻方法对鸭肉品质的影响[J].肉类研究, 2016, 30(5): 25-29.DOI:10.15922/j.cnki.rlyj.2016.05.006.

[20]SUN Q X, ZHAO X X, ZHANG C, et al.Ultrasound-assisted immersion freezing accelerates the freezing process and improves the quality of common carp (Cyprinus carpio) at different power levels[J].LWT-Food Science and Technology, 2019, 108: 106-112.DOI:10.1016/j.lwt.2019.03.042.

[21]KAEWPRACHU P, OSAKO K, BENJAKUL S, et al.Shelf life extension for Bluefin tuna slices (Thunnus thynnus) wrapped with myofibrillar protein film incorporated with catechin-Kradon extract[J].Food Control,2017, 79: 333-343.DOI:10.1016/j.foodcont.2017.04.014.

[22]赵艳芳, 盛晓风, 尚德荣, 等.解冻鲐鱼背腹部鱼片在贮藏过程中鲜度与脂肪氧化变化规律研究[J].食品科技, 2018, 43(4): 136-140.DOI:10.13684/j.cnki.spkj.2018.04.026.

[23]ERSOY B, AKSAN E, ÖZEREN A.The effect of thawing methods on the quality of eels (Anguilla anguilla)[J].Food Chemistry, 2008,111(2): 377-380.DOI:10.1016/j.foodchem.2008.03.081.

[24]MOUSAKHANI-GANJEH A, HAMDAMI N, SOLTANIZADEH N.Impact of high voltage electric field thawing on the quality of frozen tuna fish (Thunnus albacares)[J].Journal of Food Engineering, 2015,156: 39-44.DOI:10.1016/j.jfoodeng.2015.02.004.

[25]OCAÑO-HIGUERA V M, MARQUEZ-RÍOS E, CANIZALESDÁVILA M, et al.Postmortem changes in cazon fish muscle stored on ice[J].Food Chemistry, 2009, 116(4): 933-938.DOI:10.1016/j.foodchem.2009.03.049.

[26]NIKOO M, BENJAKUL S, AHMADI GAVLIGHI H, et al.Hydrolysates from rainbow trout (Oncorhynchus mykiss) processing by-products: properties when added to fish mince with different freezethaw cycles[J].Food Bioscience, 2019, 30: 100418.DOI:10.1016/j.fbio.2019.100418.

[27]LI F F, WANG B, LIU Q, et al.Changes in myofibrillar protein gel quality of porcine longissimus muscle induced by its stuctural modification under different thawing methods[J].Meat Science, 2019,147: 108-115.DOI:10.1016/j.meatsci.2018.09.003.

[28]QIAN Shuyi, LI Xia, WANG Hang, et al.Effects of low voltage electrostatic field thawing on the changes in physicochemical properties of myofibrillar proteins of bovine Longissimus dorsi muscle[J].Journal of Food Engineering, 2019, 261: 140-149.DOI:10.1016/j.jfoodeng.2019.06.013.

[29]WANG X Y, XIE J.Evaluation of water dynamics and protein changes in bigeye tuna (Thunnus obesus) during cold storage[J].LWTFood Science and Technology, 2019, 108: 289-296.DOI:10.1016/j.lwt.2019.03.076.

[30]李慢, 马晓彬, 王文骏, 等.解冻方式对中国对虾品质的影响[J].中国食品学报, 2019, 19(5): 182-190.DOI:10.16429/j.1009-7848.2019.05.023.

Effects of Different Thawing Methods on the Quality of Frozen Horse Mackerel

WANG Xuesong1, XIE Jing1,2,3,*
(1.College of Food Sciences and Technology, Shanghai Ocean University, Shanghai 201306, China;2.National Experimental Teaching Demonstration Center for Food Science and Engineering (Shanghai Ocean University),Shanghai 201306, China; 3.Shanghai Professional Technology Service Platform on Cold Chain Equipment Performance and Energy Saving Evaluation, Shanghai 201306, China)

Abstract: In order to improve the quality of frozen-thawed horse mackerel, frozen fish were thawed by five different methods (refrigerator thawing, flowing water thawing, ultrasonic-assisted flowing water thawing, ultrasonic-assisted still water thawing and microwave thawing) in this study, and the changes in physicochemical indicators including water-holding capacity, color, texture, metmyoglobin (MetMb) content, malondialdehyde (MDA) content, total sulfhydryl content and protein tertiary structure were analyzed.The water mobility in fish was investigated by pulsed nuclear magnetic resonance spectroscopy, and the microstructure of fish tissue was observed by optical microscopy.The results showed that frozen fish maintained good water-holding capacity and color after refrigerator thawing, and its muscle tissue remained intact to the greatest extent.Refrigerator thawing could effectively alleviate the oxidation of protein and fat, but was the most time-consuming.Ultrasonic-assisted flowing water thawing was completed within 10 minutes, being suitable for large-scale thawing.Compared with the other thawing methods except refrigerator thawing, ultrasonic-assisted flowing water thawing could effectively slow down the oxidation of fish protein and fat, and better maintain the quality of fish.

Keywords: horse mackerel; thawing method; ultrasonic-assisted flowing water thawing; freezing-thawing; quality

收稿日期:2019-11-05

基金项目:“十三五”国家重点研发计划重点专项(2018YFD0400605);现代农业产业技术体系建设专项(CARS-47);上海市科委公共服务平台建设项目(17DZ2293400)

第一作者简介:王雪松(1994—)(ORCID: 0000-0001-6974-943X),男,硕士研究生,研究方向为水产品低温保鲜。E-mail: 546477382@qq.com

*通信作者简介:谢晶(1968—)(ORCID: 0000-0002-3194-9273),女,教授,博士,研究方向为水产品低温保鲜。E-mail: jxie@shou.edu.cn

DOI:10.7506/spkx1002-6630-20191105-050

中图分类号:TS254.4

文献标志码:A

文章编号:1002-6630(2020)23-0137-07

引文格式:

王雪松, 谢晶.不同解冻方式对冷冻竹荚鱼品质的影响[J].食品科学, 2020, 41(23): 137-143.DOI:10.7506/spkx1002-6630-20191105-050.http://www.spkx.net.cn

WANG Xuesong, XIE Jing.Effects of different thawing methods on the quality of frozen horse mackerel[J].Food Science,2020, 41(23): 137-143.(in Chinese with English abstract) DOI:10.7506/spkx1002-6630-20191105-050.http://www.spkx.net.cn