基于高效液相色谱法的麻辣火锅底料辣度分级模型建立及其在熬煮过程中的变化

杨 莉1,张 淼1,贾洪锋1,*,涂梦婕1,黄 英1,宋璐杉1,严利强2

(1.四川旅游学院食品学院,四川 成都 610100;2.浙江旅游职业学院,浙江 杭州 310000)

摘 要:基于高效液相色谱法结合感官评价结果,采用SPSS中的Fisher判别分析方式,对火锅底料进行辣度分级,得到麻辣火锅底料的辣度分级模型;研究熬煮过程中辣椒素类物质(capsaicinoids,Cap-S)的含量变化,得到其影响辣度分级的规律。结果表明,仅用感官评价对火锅底料进行辣度分级受感官评价人员的影响较大,结论准确度不高;若以火锅底料中Cap-S含量为分级标准,其正判率界值为24%>20%,可以很好地将辣度分为5 个等级,分级模型较为合理。火锅底料熬煮过程会影响Cap-S的迁移,Cap-S在油相和水相中处于动态平衡状态,同时调味料中的Cap-S逐渐迁移到汤底中,使得熬煮过程中辣度总是不断发生变化。高效液相色谱法结合感官评价结果对火锅底料进行辣度分级,可以很好地区分火锅底料的辣度,指导消费者购买合适的食品。

关键词:麻辣火锅底料;辣椒素类物质;辣度分级;高效液相色谱法;感官评价;熬煮

人们对“辣”的偏好由来已久[1-2],因而有许多用辣椒制成的食品。麻辣火锅是我国非常受欢迎的食品之一,由于其底料炒制方法的差异,又出现了许多类型[3-4]。现代社会,饮食方式的方便化、工业化成为了新时代的新要求,因而催生出了麻辣火锅底料[5-7]。麻辣火锅底料熬制出来的火锅汤底味型鲜香、口感复杂,且食用方便,得到了大众广泛的认可[8]。所有麻辣类型的火锅底料都保留了火锅的“辣”味,“辣”是由辣椒素类物质(capsaicinoids,Cap-S)引起的,Cap-S的主要成分是辣椒素(capsaicinoid,Cap)和二氢辣椒素(dihydro-capsaicin,D-Cap),其提供的“辣”味占到了所有Cap-S的90%,因此研究“辣”味主要以Cap和D-Cap的辣感计算[9-11]

目前大部分研究集中在Cap-S的提取[12]及其与病理的关系[13-14]等,还未得到大众公认的辣度分级模型。辣味分级的方法较多,但通常都是依据“感觉”分级,感官鉴评建立在感官鉴评人员的判断上,具有很多主观性,导致结论不确定因素增加,造成市面上流通的麻辣火锅底料对辣度的标示不够规范,不能正确指导人们选择合适口味的底料[15]。国际上一般以斯科维尔指数(Scoville heat unit,SHU)表示“辣”味程度,而国内习惯于用“微辣”、“特辣”等辣度分级。李德建等[16]基于感官鉴评模拟白酒分级方式将麻辣火锅底料分为微辣、低辣、中辣、高辣、特辣、暴辣6 个等级。仲辉等[17]基于高效液相色谱法测定辣椒中的Cap-S含量,并将辣椒分为了8 级。李沿飞等[18]基于高效液相色谱技术结合SHU将辣椒及其制品分为了5 个等级。贾洪锋等[19]基于高效液相色谱结合感官鉴评结果将川菜菜品分为了5 个等级(特辣、辣、中辣、微辣、不辣)。

火锅底料加水熬制后,配料中所含的Cap-S溶入汤底,而汤底中的“辣味”迁移到水相和油相中,都会影响麻辣火锅底料的辣度分级[20-21]。因此,本实验拟基于高效液相色谱法测定不同火锅底料水相和油相中的Cap和D-Cap含量,结合感官评价,利用Fisher线性分类原理对辣度进行分级,建立客观、合理的辣度分级模型,并研究火锅底料熬煮过程中Cap-S的迁移规律对辣度分级的影响,从客观上为指导麻辣火锅底料辣度分级提供科学依据。

1 材料与方法

1.1 材料与试剂

麻辣火锅底料市购,其中牛油火锅底料15 种,清油火锅底料8 种。

Cap(纯度≥95%)、D-Cap(纯度≥90%) 美国Sigma公司;甲醇(色谱纯) 成都市科龙化工试剂厂。

1.2 仪器与设备

L9型高效液相色谱仪 北京普析通用仪器有限责任公司;Diamonsil C18色谱柱(150 mmh 4.6 mm,5 μm)北京迪马科技有限公司;AT-330柱温箱 天津奥特赛恩斯仪器有限公司;KQ-5200E超声波清洗仪 昆山市超声仪器有限公司;抽滤瓶 天津津腾实验设备有限公司。

1.3 方法

1.3.1 火锅底料中辣味物质的提取

1.3.1.1 牛油火锅底料油脂

准确称取10.00 g油脂,置于三角瓶中。称取样品后,加入25 mL甲醇溶液,用保鲜膜封盖,于70 ℃超声5 min后过滤;另将残渣和滤纸一起加入三角烧瓶中,再加入25 mL甲醇,按上述方法再提取,过滤。合并2 次滤液,定容至50 mL。

1.3.1.2 清油火锅底料油脂

于三角瓶中准确称取10.00 g油脂,加入25 mL甲醇溶液后,按照1.3.1.1节进行后续操作。

1.3.1.3 火锅底料

于三角瓶中准确称取10.00 g火锅底料,按1.3.1.1节方法制成50 mL待测溶液[22]

1.3.2 熬煮火锅底料的取样

取火锅底料(牛油微辣、牛油特辣、清油微辣、清油特辣),按照底料与水质量比1∶4熬煮,分别取汤料熬煮0、25、50、75、100、125 min的油相和水相部分各10.00 g,参照1.3.1节方法处理成待测试样。

1.3.3 标准曲线绘制

参照贾洪锋等[19,23]的方法绘制标准曲线。

1.3.4 色谱条件

参照贾洪锋等[19,23]的色谱条件进行实验。

1.3.5 感官鉴评

模拟火锅烫煮流程,取底料与水质量比1∶4将底料熬煮至沸腾,5 min后分别由40 位感官评定人员品评。将辣度等级分为不辣、微辣、中辣、高辣、特辣、暴辣,依次得分0、20、40、60、80、100[24]

1.4 数据处理

1.4.1 Cap和D-Cap含量计算

Cap和D-Cap含量按式(1)计算:

式中:U aU b)为试样中C a p(D-C a p)含量/(g/kg);C为由标准曲线查到的Cap(D-Cap)质量浓度/(μg/mL);V为样品定容体积/mL;M为样品质量/g。

1.4.2 Cap-S总量计算

Cap总量按式(2)计算[25]

式中:U为试样中Cap-S总量/(g/kg);0.9为Cap与D-Cap折算为Cap-S总量系数。

1.4.3 SHU计算

SHU按式(3)计算[26]

式中:16.1h 103为Cap或D-Cap转换为SHU的系数;0.1为其余Cap-S含量的折算系数;9.3h 103为其他类型Cap-S转换为SHU的系数。

2 结果与分析

2.1 感官评价结果

图1 感官评分结果
Fig.1 Sensory evaluation results

感官人数n=40;N系列为不同厂家生产的牛油火锅底料,Q系列为不同厂家生产的清油火锅底料。下同。

根据感官评价方法得到每种火锅底料的感官评分,结果如图1所示。根据感官评价的结果,整体而言,清油火锅底料比牛油火锅底料的感官评分低,但区分不明显。实验的23 种火锅底料辣度集中在中辣左右,感官评分波动范围较大,这可能与感官人员的辣味感受情况有关。因此根据感官评分区分辣度等级的客观性不强。

2.2 标准曲线和线性回归方程

前期研究得到Cap的线性回归方程为Y=8 608.2X+3 2 4 6.1,R2=0.9 9 9 6;D-C a p 的线性回归方程为Y=17 247X+3 808.8,R2=0.999 9(Y为峰面积,X为物质质量浓度(mg/L))[19]

2.3 火锅底料中Cap-S的含量分布

图2 火锅底料中Cap-S含量分布
Fig.2 Distribution of capsaicinoids in spicy hot pot seasoning

A.牛油火锅底料;B.清油火锅底料。

t检验发现火锅底料中Cap-S与油脂部分所含Cap-S虽然个别样本之间差异显著,但从整体样本上看差异不显著:牛油火锅底料P值为0.214,无显著性差异;清油火锅底料P值为0.257,无显著性差异。图2中有些火锅底料油相中的Cap-S含量超出火锅底料整体取样,这可能是Cap-S为脂溶性物质,火锅底料中大部分Cap-S溶解在油相中所导致[27]

不同厂家的火锅底料Cap-S含量不同,这与所添加的辣椒、豆瓣等调味料的量不同有关。大部分厂家未对火锅底料中Cap-S含量进行标示,少部分厂家标示了辣度等级,比如N1标示为特辣,N2标示为微辣。从图2A可以看出,N1和N2之间Cap-S含量虽然存在明显差异,但从图1看出感官分级均为中辣。图2B中,厂家标示Q1为微辣,Q2为特辣,但其Cap-S含量较为接近,感官分级为微辣。目前市场上大部分火锅底料的分级都是基于感官鉴评得到的,说明依据感官鉴评对火锅底料进行辣度分级的方法缺乏一定客观性。

国际上常用SHU标示辣味程度,从图2可以看出,不同火锅底料的SHU都比较大,其数值与Cap和D-Cap的含量有关。SHU可以反映火锅底料的辣味程度,但对于习惯用“微辣”、“特辣”等辣度分级区分火锅底料辣度的消费者来说,还比较陌生。因此,本实验以Cap-S含量对火锅底料的辣度进行分级,并基于高效液相色谱仪测出的Cap-S含量结合感官鉴评得到较为客观的辣度分级标示。

2.4 火锅底料的辣度分级

2.4.1 以火锅底料Cap-S含量为基础的辣度分级

以火锅底料Cap-S含量的高低对火锅底料进行辣度分级,分级标准如表1所示。

表1 以火锅底料Cap-S含量为基础的辣度分级标准
Table 1 Capsaicinoid content in spicy hot pot seasoning as criterion for determination of pungency levels

火锅底料Cap-S含量/(g/kg) 辣度分级0~3 微辣3~6 中辣6~10 高辣10~13 特辣≥13 暴辣

图3 以火锅底料Cap-S含量为基础的辣度分级分布图
Fig.3 Distribution of pungency levels

1.微辣;2.中辣;3.高辣;4.特辣;5.暴辣。图4同。

表2 以火锅底料Cap-S含量为基础的Fisher判别效果验证
Table 2 Verification of Fisher discrimination analysis model

辣度分级 微辣 中辣 高辣 特辣 暴辣 计数 正确率/%微辣 2 0 0 0 0 2 100.0中辣 0 6 0 0 0 6 100.0高辣 0 0 11 0 0 11 100.0特辣 0 0 0 3 0 3 100.0暴辣 0 0 0 0 1 1 100.0

采用SPSS Fisher判别分析方式,建立分类模型[28]。辣度分为5 级,如图3、表2所示。

判别函数(非标准化)如下:

式中:变量名前加“Z”表示变量未经标准化处理。

正判率界值为(100%/5)×1.2=24%>20%,说明这5 个级别区分度好,级别间跨度小。处于5 个不同等级之间的火锅底料个数分别为2、6、11、3、1,每个等级区分度为100%,本次建立的辣度分级模型能够准确判别辣度级别。

2.4.2 以火锅底料油相Cap-S含量为基础的辣度分级

以火锅底料油相Cap-S含量对火锅底料进行辣度分级,分级标准如表3所示。

表3 以火锅底料油相Cap-S含量为基础的辣度分级标准
Table 3 Capsaicinoid content in the oil phase of spicy hot pot seasoning as criterion for classification of pungency levels

火锅底料油相Cap-S含量/(g/kg) 辣度分级0~2.6 微辣2.6~6 中辣6~10 高辣10~13.6 特辣≥13.6 暴辣

图4 以火锅底料油相Cap-S含量为基础的辣度分级分布图
Fig.4 Distribution of pungency levels

表4 以火锅底料油相Cap-S含量为基础的Fisher判别效果验证
Table 4 Verification of the Fisher discriminant analysis model

辣度分级 微辣 中辣 高辣 特辣 暴辣 计数 正确率/%微辣 2 0 0 0 0 2 100.0中辣 0 4 0 0 0 4 100.0高辣 0 0 6 0 0 6 100.0特辣 0 0 0 8 0 8 100.0暴辣 0 0 0 0 3 3 100.0

采用SPSS Fisher判别分析方式,建立分类模型,将其分为5 级,如图4、表4所示。

判别函数(非标准化)如下:

正判率界值为(100%/5)×1.2=24%>20%,说明这5 个级别区分度好,级别间跨度小。处于5 个不同等级之间的火锅底料个数分别为2、4、6、8、3,每个等级区分度为100%,本次建立的辣度分级模型能够准确判别辣度级别。

2.4.3 辣度标示

从表5可以看出,感官评分的辣度分级与高效液相色谱法得到的辣度分级差异较大,感官辣度大多只能判断微辣到高辣的辣味程度,且样品的感官辣度分级不准确,而Fisher线性辣度分级可以较好地区分不同程度的辣味。事实上辣味是Cap-S刺激口腔黏膜引起的痛觉,刺激时间仅维持1.5h 10-3~4.0h 10-3 s,由于味蕾结构的差异,不同人对辣味的感受不同[24,29]。因此,基于高效液相色谱法得到的辣度分级更快捷、客观和合理。

表5 样品辣度标示
Table 5 Scaling of pungency levels

注:G.感官辣度分级;A.以火锅底料Cap-S含量为分级标准;O.以火锅底料油相中Cap-S含量为分级标准。

火锅底料编号 G A O 火锅底料编号 G A O N1 中辣 特辣 特辣 N13 微辣-中辣 特辣 特辣N2 中辣 高辣 高辣 N14 中辣-高辣 中辣 特辣N3 微辣-中辣 中辣 中辣 N15 微辣-中辣 高辣 中辣N4 中辣 微辣 微辣 Q1 不辣-微辣 高辣 特辣N5 微辣-中辣 高辣 高辣 Q2 微辣-中辣 高辣 特辣N6 中辣 高辣 暴辣 Q3 微辣-中辣 高辣 高辣N7 中辣 中辣 中辣 Q4 微辣-中辣 微辣 微辣N8 中辣 高辣 特辣 Q5 微辣-中辣 中辣 高辣N9 微辣 中辣 高辣 Q6 微辣 高辣 暴辣N10 中辣-高辣 暴辣 暴辣 Q7 中辣 中辣 中辣N11 中辣-高辣 高辣 高辣 Q8 微辣-中辣 特辣 特辣N12 中辣 高辣 特辣

对比2 种分级模型,以火锅底料Cap-S含量为分级标准将23 种火锅底料分为5 个等级,其辣度分布合理,大部分分布在中辣、高辣范围。因此,以火锅底料Cap-S含量为分级标准合理。

2.5 火锅底料熬煮过程中的Cap-S含量分布及其辣度分级

2.5.1 火锅底料熬煮过程中Cap-S含量的变化规律

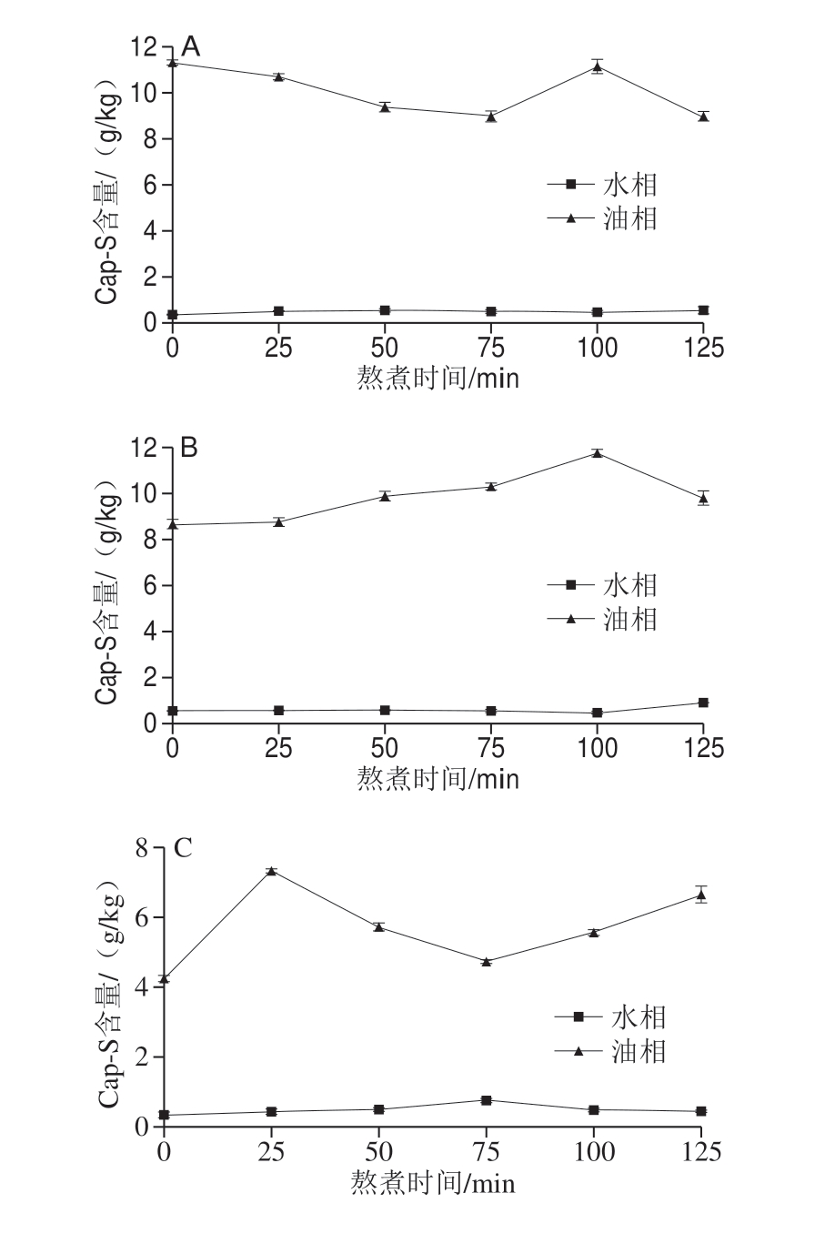
图5 熬煮过程中Cap-S含量的变化
Fig.5 Change in Cap-S content during boiling of spicy hot pot seasoning

A.Q1;B.Q2;C.N2;D.N1。下同。

图6 归一化处理后的Cap-S变化趋势
Fig.6 Normalized change in Cap-S content during boiling of spicy hot pot seasoning

为了模拟实际火锅烫煮的过程,研究火锅底料在加热熬煮过程中Cap-S的变化及其对辣度分级的影响,本实验取同一公司生产的牛油微辣(N2)、牛油特辣(N1)、清油微辣(Q1)、清油特辣(Q2)(企业自主辣度分级)4 种火锅底料进行实验,按料液质量比1∶4进行熬煮,结果如图5所示。为了观察熬煮过程中Cap-S的变化规律,采用0-1标准化线性变换方法,使数据落到[0,1]区间内,如图6所示。

从图5、6可以看出,火锅底料中大部分Cap-S溶解在油相中,少部分溶解在水相中,且水相中的Cap-S在熬煮过程中变化不大。随着熬煮时间的延长,油相和水相中的Cap-S基本保持动态平衡。

Q1熬煮到第75分钟时,油相中的Cap-S含量减少,水相中的Cap-S含量增多,随着熬煮时间的延长,油相中Cap-S含量会逐渐增多,水相中的Cap-S减少。一方面可能因为水相中的Cap-S迁移到了油相中,另一方面可能是底料中富含Cap-S的调味料如辣椒、豆瓣等释放了部分Cap-S优先溶解在了油相中;第125分钟时,油相中Cap-S含量减少,这可能是加热时间过长,Cap-S由于高温发生了一定的分解[30]。与Q1相似,Q2熬煮到第100分钟时,油相中Cap-S含量最多(11.756 g/kg),随后Cap-S含量开始下降。Q1和Q2熬煮过程中变化趋势的不同主要表现在熬煮前75 min内,Q1油相中的Cap-S含量越少,Q2则增多。

牛油火锅底料熬煮过程中其Cap-S含量的变化规律与清油型有较大差异。熬煮前期,油相中的Cap-S含量都会增加达到最大值(微辣型(图5C)7.328 g/kg,特辣型(图5D)9.750 3 g/kg),而水相中的Cap-S含量则与之相反,这可能是底料中的Cap-S迁移到了油相中。在油相中Cap-S含量达到最大值后,随着熬煮的进行,油相中的Cap-S含量都会下降到最低值,随之又持续上升,而水相中Cap-S含量的变化与油相变化趋势相反。总体来看,牛油火锅底料熬煮过程中Cap-S含量变化较大,呈先上升再下降再上升的波动,从而明显区别于清油火锅底料。这可能与油脂种类及火锅底料原辅料来源、原辅料大小等有关。

2.5.2 熬煮时间对辣度分级的影响

表6 熬煮后火锅底料的辣度分级(n=3)
Table 6 Classification of pungency levels of boiled spicy hot pot seasoning (n= 3)

项目 N1 N2 Q1 Q2熬煮前火锅底料中Cap-S含量/(g/kg) 10.48f 0.13 8.42f 0.11 7.65f 0.58 8.21f 0.13熬煮125 min后火锅底料中Cap-S含量/(g/kg) 7.50f 0.19 7.10f 0.20 9.52f 0.32 10.71f 0.36火锅底料已有的辣度宣称 特辣 微辣 微辣 特辣感官辣度分级 中辣 中辣 不辣-微辣 微辣-中辣Fisher线性辣度分级 特辣 高辣 高辣 高辣Fisher线性辣度分级(熬煮125 min) 高辣 高辣 特辣 特辣

由表6可以看出,根据建立的辣度分级模型对熬煮后的火锅底料进行分级,发现火锅底料的辣度发生变化。

熬煮前后火锅底料中的Cap-S含量不一致:牛油火锅底料降低,清油火锅底料升高。这可能是由于油脂的不同,Cap-S在其中达到动态平衡的时间点不同,说明脂肪酸种类不同的油脂会影响Cap-S的迁移速率;同时可能与Cap-S在不同油脂中的溶解度不同有关,有待进一步研究。而油相中的Cap-S含量都有所下降,这可能是由于熬煮时间越长,溶解在水相中的Cap-S增多导致。

企业将4 种火锅底料分别分级为微辣、特辣,这和感官分级不一致,感官上对饱和脂肪酸含量较低的清油火锅底料更能区分其辣度,而对饱和脂肪酸含量较高的牛油火锅底料区分不显著。一方面,Fisher线性分级模型将未熬煮的牛油火锅底料分为特辣、高辣,清油火锅底料分为高辣,这与感官分级较为契合;若以熬煮(125 min)后底料中的Cap-S含量进行分级,则牛油火锅底料为高辣、清油火锅底料为特辣,不能较好地区分辣度。另一方面,熬煮过程模拟了火锅烫煮过程,其Cap-S含量更适合用来辣度分级,但受到Cap-S迁移的影响,溶解在油相和水相中的Cap-S含量总是不断变化,不利于找到合适的时刻进行辣度分级,因此以未熬煮的火锅底料为辣度分级样本较为合理。

3 结 论

根据感官评价对火锅底料的辣度进行分级是目前食品企业常用的方式,但是感官评价结果与感官人员的判断有关;而Cap-S的强刺激性与感官人员感受“辣”的程度有关,人类神经细胞长时间接触Cap-S会产生一定程度的麻痹,导致后期判断辣度失误[31-32];另外,消费者认可的火锅底料辣度,是一开始感受的辣度,因此通过感官鉴评得到的火锅底料辣度分级,不利于科学地指导辣度表示和宣称。

目前食品行业,火锅底料作为一种调味料被广大消费者接受,但琳琅满目的火锅底料并没有标明其辣味程度,这不利于指导消费者购买。而实验证明,不同厂家生产的不同类型火锅底料的Cap-S含量不同,通过感官评价得到的辣度分级也不同。掺水熬煮后,底料中的Cap-S含量会迁移到油相和水相中,基于仪器分析得到的Cap-S含量也不同,且大部分Cap-S溶解在油相中。无论以底料还是油相中的Cap-S含量对辣度进行分级,其正判率界值都为24%,都可以很好地将辣度分为5 个等级,而以底料中Cap-S含量为分级标准得到的辣度分级更为合理,辣度分隔较均匀,因此,以火锅底料Cap-S含量为分级标准更合理。

火锅底料中不仅含有大量的油,还含有许多调味料:辣椒、豆瓣、花椒、香叶、八角等。实验证明,熬煮过程中Cap-S的迁移受到多方面的影响:Cap-S在油相和水相中的迁移总是动态平衡的;随着熬煮时间的延长,调味料中Cap-S不断迁移到汤底中;熬煮过程中Cap-S含量可能会因高温而分解;熬煮时间也可能会影响Cap-S的稳定性等。若以熬煮125 min后汤底或油相中的Cap-S对辣度进行分级,则受诸多因素影响其辣度是不稳定的。

火锅底料熬煮过程中Cap-S含量变化较为复杂,火锅底料的辣度也会随着熬煮中Cap-S含量的变化而变化。若食品生产企业能将仪器分析结果结合感官鉴评对火锅底料进行分级,将科学的指导消费者选择合适的食品,同时也更利于含Cap-S食品的生产和辣度宣称。

参考文献:

[1] ROZIN P, SCHILLER D.The nature and acquisition of a preference for chili pepper by humans[J].Motivation and Emotion, 1980, 4(1):77-101.DOI:10.1007/BF00995932.

[2] SPENCE C.Why is piquant/spicy food so popular[J].International Journal of Gastronomy & Food Science, 2018, 12(1): 16-21.DOI:10.1016/j.ijgfs.2018.04.002.

[3] 晓书.中国南北名火锅[M].北京: 金盾出版社, 2007: 2.

[4] 唐文.中国火锅[M].长春: 吉林科学技术出版社, 1989: 15-17.

[5] 豆海港, 杨改, 曹德玉, 等.火锅底料生产技术研究[J].中国调味品,2018, 43(10): 130-132; 136.DOI:CNKI:SUN:ZGTW.0.2018-10-027.

[6] 李波, 要志宏, 张琛, 等.麻辣味型火锅底料的制作工艺[J].中国调味品, 2 0 1 8, 4 3(3): 8 0-8 2; 9 0.D O I:1 0.3 9 6 9/j.issn.1000-9973.2018.03.017.

[7] 刘骞, 曾洁.麻辣食品生产工艺与配方[M].北京: 化学工业出版社,2014: 202-204.

[8] 但晓容, 李栋钢, 卢晓黎.牛油火锅底料关键工艺参数优化[J].食品科学, 2010, 31(22): 211-215.

[9] SCOVILLE W L.Note on capsicums[J].1912, 1(5): 453-454.DOI:10.1002/jps.3080010520.

[10] LUO X J, PENG J, LI Y J.Recent advances in the study on capsaicinoids and capsinoids[J].European Journal of Pharmacology,2011, 650(1): 1-7.DOI:10.1016/j.ejphar.2010.09.074.

[11] DEJMKOVA H, MOROZOVA K, SCAMPICCHIO M.Estimation of Scoville index of hot chili peppers using flow injection analysis with electrochemical detection[J].Journal of Electroanalytical Chemistry,2018, 821: 82-86.DOI:10.1016/j.jelechem.2018.01.056.

[12] 吴丽威, 孙颖, 孙秀敏, 等.无溶剂微波预处理-NaOH溶液搅拌法提取干红辣椒中的辣椒素[J].分析化学, 2010, 38(11): 1661-1664.DOI:10.3724/SP.J.1096.2010.01661.

[13] ROCIO S, CONCEPCIÓN L, MACHO A , et al.Immunosuppressive activity of capsaicinoids: capsiate derived from sweet peppers inhibits NF-κB activation and is a potent antiinflammatory compound in vivo[J].European Journal of Immunology, 2002, 32(6): 1753-1763.DOI:10.1002/1521-4141(200206)32:63.0.CO;2-2.

[14] ROBBINS W.Clinical applications of capsaicinoids.[J].Clinical Journal of Pain, 2000, 16(Suppl 2): 86-89.DOI:10.1097/00002508-200006000-00013.

[15] DELAHUNTY C M, MURRAY J M.Descriptive sensory analysis:past, present and future[J].Food Research Internatio, 2001, 34(6): 461-471.DOI:10.1016/S0963-9969(01)00070-9.

[16] 李德建, 李沿飞, 李洪军, 等.麻辣火锅底料辣度标准化及李氏辣度研究[J].中国调味品, 2018, 43(9): 167-169.DOI:10.3969/j.issn.1000-9973.2018.09.036.

[17] 仲辉, 孙令强, 牟其芸, 等.不同类型干制辣椒辣度评估及辣度杂优遗传分析[J].中国农学通报, 2012, 29(22): 114-119.DOI:10.3969/j.issn.1000-6850.2013.22.021.

[18] 李沿飞, 罗庆红, 屠大伟, 等.干辣椒及制品中辣椒碱含量分析与辣度分级[J].分析试验室, 2013, 32(1): 39-43.DOI:10.13595/j.cnki.issn1000-0720.2013.0011.

[19] 贾洪锋, 邓红, 梁爱华, 等.川菜菜品的辣味物质分析与辣度分级[J].食品科学, 2015, 36(4): 152-157.DOI:10.7506/spkx1002-6630-201504029.

[20] 唐毅, 张丽, 李杨梅, 等.麻辣火锅底料中常用配料对辣椒素类物质的影响[J].中国调味品, 2018, 43(8): 107-111.DOI:CNKI:SUN:ZG TW.0.2018-08-024.

[21] PROKOPENKO Y S, GEORGIYANTS V A, MISHCHENKO V A,et al.Lipophilic compounds from leaves and stems of Capsicum annuum[J].Chemistry of Natural Compounds, 2013, 49(4): 738-739.DOI:10.1007/s10600-013-0723-9.

[22] 曾玲玲, 王斌, 陈烨, 等.辣味食品辣度量化分级技术研究[J].食品科学, 2006, 27(7): 129-131.DOI:10.3321/j.issn:1002-6630.2006.07.026.

[23] 贾洪锋, 彭德川, 梁爱华, 等.高效液相色谱法测定豆瓣中辣椒素类物质含量[J].中国调味品, 2012, 37(2): 104-108.DOI:10.3969/j.issn.1000-9973.2012.02.026.

[24] 王燕.辣椒素类物质分析及其感官特性研究[D].长沙: 湖南农业大学, 2007.

[25] 国家质量监督检验检疫总局, 国家标准化管理委员会.辣椒及辣椒制品中辣椒素类物质测定及辣度表示方法: GB/T 21266ü 2007[S].北京: 中国标准出版社, 2007: 2-4.

[26] KOREL F, BADATLIOLU N, BALABAN M, et al.Ground red peppers: capsaicinoids content, Scoville scores, and discrimination by an electronic nose[J].Journal of Agricultural and Food Chemistry,2002, 50(11): 3257-3261.DOI:10.1021/jf010537b.

[27] ZHOU C, MA D, CAO W, et al.Fast simultaneous determination of capsaicin, dihydrocapsaicin and nonivamide for detecting adulteration in edible and crude vegetable oils by UPLC-MS/MS[J].Food Additives & Contaminants: Part A, 2018, 8(35): 1447-1452.DOI:10.1080/19440049.2018.1457801.

[28] 张文彤, 董伟.统计分析高级教程[M].北京: 高等教育出版社, 2018:344-354.

[29] ROZIN P, EBERT L, SCHULL J.Some like it hot: a temporal analysis of hedonic responses to chili pepper[J].Appetite, 1982, 3(1): 13-22.DOI:10.1016/S0195-6663(82)80033-0.

[30] 贾洪锋, 彭德川, 梁爱华, 等.豆瓣中辣椒素类物质的超声波提取及其热稳定性[J].食品科学, 2012, 33(4): 104-108.

[31] LI Q, CUI Y, JIN R, et al.Enjoyment of spicy flavor enhances central salty-taste perception and reduces salt intake and blood pressure[J].Hypertension, 2017, 70(6): 1291-1299.DOI:10.1161/HYPERTENSIONAHA.117.09950.

[32] CUI Y, LI Q, LIU D, et al.A1877 Spicy flavor reduces salt consumption and blood pressure through enhancement of perception of salty taste[J].Journal of Hypertension, 2018, 36: e109-e110.DOI:10.1097/01.hjh.0000548437.22001.54.

Modelling for Pungency Grading of Spicy Hot Pot Seasonings Based on Capsaicinoid Content Determined by HPLC and Analysis of Its Changes during Boiling

YANG Li1, ZHANG Miao1, JIA Hongfeng1,*, TU Mengjie1, HUANG Ying1, SONG Lushan1, YAN Liqiang2
(1.College of Food Science and Technology, Sichuan Tourism University, Chengdu 610100, China;2.Tourism College of Zhejiang, Hangzhou 310000, China)

Abstract: Based on the results of high performance liquid chromatography (HPLC) analysis combined with sensory evaluation, a Fisher discriminant analysis (FDA) model to grade the pungency intensity of spicy hot pot seasonings was developed using the Statistical Product and Service Solutions (SPSS) software.Changes in capsaicinoid content during the boiling of spicy hot pot seasonings were monitored to determine its influence on pungency grading.The results showed that pungency grading simply by sensory evaluation was greatly influenced by the sensory appraisers, resulting in low accuracy.When the content of capsaicinoid was used as the criterion, the pungency was graded into five levels with a hit ratio of 24% > 20%, and the proposed model was found to be reasonable.The boiling process could affect the migration of capsaicinoids, and the capsaicinoids were maintained in a dynamic equilibrium between the oil phase and the water phase.In addition, the capsaicinoids in the seasoning migrated gradually into the soup, resulting in constant change in the pungency level.This research concluded that HPLC combined with sensory evaluation could allow clear discrimination of the pungency levels of spicy hot pot seasonings, which will guide consumers to select the most suitable product.

Keywords: spicy hot pot seasoning; capsaicinoids; classification of pungency levels; high performance liquid chromatography; sensory evaluation; boiling

DOI:10.7506/spkx1002-6630-20190929-356

中图分类号:TS207.3

文献标志码:A

文章编号:1002-6630(2021)04-0233-07

引文格式:

杨莉, 张淼, 贾洪锋, 等.基于高效液相色谱法的麻辣火锅底料辣度分级模型建立及其在熬煮过程中的变化[J].食品科学, 2021, 42(4): 233-239.DOI:10.7506/spkx1002-6630-20190929-356.http://www.spkx.net.cn

YANG Li, ZHANG Miao, JIA Hongfeng, et al.Modelling for pungency grading of spicy hot pot seasonings based on capsaicinoid content determined by HPLC and analysis of its changes during boiling[J].Food Science, 2021, 42(4): 233-239.(in Chinese with English abstract) DOI:10.7506/spkx1002-6630-20190929-356.http://www.spkx.net.cn

收稿日期:2019-09-29

基金项目:四川省科技厅科研项目(2019YJ0343);四川省教育厅川菜发展研究中心科研项目(CC18Z01)

第一作者简介:杨莉(1990-)(ORCID: 0000-0003-3048-8476),女,助理实验师,硕士,研究方向为食品营养与安全。E-mail: yizhirr2011@163.com

*通信作者简介:贾洪锋(1981-)(ORCID: 0000-0002-4251-2771),男,副教授,硕士,研究方向为食品加工与检测。E-mail: jiahongfeng_cq@163.com